How to Boost Performance with Advanced Multiplexer Models?
JUL 11, 20259 MIN READ
Generate Your Research Report Instantly with AI Agent
Patsnap Eureka helps you evaluate technical feasibility & market potential.
Multiplexer Evolution
The evolution of multiplexer models has been a critical factor in advancing digital circuit design and enhancing overall system performance. Initially developed as simple switching devices, multiplexers have undergone significant transformations to meet the increasing demands of modern computing and communication systems.
In the early stages of digital electronics, basic multiplexers were used primarily for data selection and routing. These devices allowed for the selection of one input from multiple input lines, based on a control signal. As technology progressed, the complexity and capabilities of multiplexers expanded rapidly.
The introduction of larger-scale integration in the 1970s and 1980s led to the development of more sophisticated multiplexer designs. These advanced models incorporated features such as multiple control lines, enabling the selection of inputs from a larger pool of options. This evolution allowed for more complex data routing and processing within integrated circuits.
With the advent of high-speed digital communications, multiplexers played a crucial role in time-division multiplexing (TDM) systems. This technology enabled multiple data streams to be transmitted over a single channel by rapidly switching between inputs. The development of synchronous optical networking (SONET) and other high-bandwidth communication standards further drove the evolution of multiplexer technology.
As the demand for higher data rates and more efficient use of bandwidth increased, wavelength-division multiplexing (WDM) emerged as a groundbreaking technology in optical communications. This approach allowed multiple optical signals to be transmitted simultaneously over a single fiber, dramatically increasing data capacity. The evolution of WDM systems led to the development of dense wavelength-division multiplexing (DWDM), further expanding the capabilities of optical networks.
In recent years, the focus has shifted towards developing multiplexer models that can handle increasingly complex signal processing tasks. Advanced multiplexer designs now incorporate features such as on-chip signal conditioning, adaptive equalization, and error correction. These enhancements have significantly improved signal integrity and overall system performance.
The integration of multiplexers with other circuit elements has also been a key trend in their evolution. Modern system-on-chip (SoC) designs often include advanced multiplexer structures that work in conjunction with other functional blocks to optimize data flow and processing efficiency. This integration has led to more compact and power-efficient designs, crucial for mobile and embedded applications.
Looking ahead, the evolution of multiplexer models is likely to continue in parallel with advancements in areas such as quantum computing, neuromorphic engineering, and photonic integrated circuits. These emerging technologies present new challenges and opportunities for multiplexer design, potentially leading to novel architectures and functionalities that could revolutionize data processing and communication systems.
In the early stages of digital electronics, basic multiplexers were used primarily for data selection and routing. These devices allowed for the selection of one input from multiple input lines, based on a control signal. As technology progressed, the complexity and capabilities of multiplexers expanded rapidly.
The introduction of larger-scale integration in the 1970s and 1980s led to the development of more sophisticated multiplexer designs. These advanced models incorporated features such as multiple control lines, enabling the selection of inputs from a larger pool of options. This evolution allowed for more complex data routing and processing within integrated circuits.
With the advent of high-speed digital communications, multiplexers played a crucial role in time-division multiplexing (TDM) systems. This technology enabled multiple data streams to be transmitted over a single channel by rapidly switching between inputs. The development of synchronous optical networking (SONET) and other high-bandwidth communication standards further drove the evolution of multiplexer technology.
As the demand for higher data rates and more efficient use of bandwidth increased, wavelength-division multiplexing (WDM) emerged as a groundbreaking technology in optical communications. This approach allowed multiple optical signals to be transmitted simultaneously over a single fiber, dramatically increasing data capacity. The evolution of WDM systems led to the development of dense wavelength-division multiplexing (DWDM), further expanding the capabilities of optical networks.
In recent years, the focus has shifted towards developing multiplexer models that can handle increasingly complex signal processing tasks. Advanced multiplexer designs now incorporate features such as on-chip signal conditioning, adaptive equalization, and error correction. These enhancements have significantly improved signal integrity and overall system performance.
The integration of multiplexers with other circuit elements has also been a key trend in their evolution. Modern system-on-chip (SoC) designs often include advanced multiplexer structures that work in conjunction with other functional blocks to optimize data flow and processing efficiency. This integration has led to more compact and power-efficient designs, crucial for mobile and embedded applications.
Looking ahead, the evolution of multiplexer models is likely to continue in parallel with advancements in areas such as quantum computing, neuromorphic engineering, and photonic integrated circuits. These emerging technologies present new challenges and opportunities for multiplexer design, potentially leading to novel architectures and functionalities that could revolutionize data processing and communication systems.
Market Demand Analysis
The market demand for advanced multiplexer models has been steadily increasing due to the growing need for high-performance data transmission and signal processing across various industries. As data volumes continue to expand exponentially, there is a pressing requirement for more efficient and faster data handling capabilities. Advanced multiplexer models offer a solution to this challenge by enabling simultaneous transmission of multiple data streams over a single channel, thereby significantly boosting overall system performance.
In the telecommunications sector, the demand for advanced multiplexers is particularly strong. With the ongoing rollout of 5G networks and the anticipated transition to 6G in the future, there is a critical need for multiplexers that can handle higher data rates and more complex signal processing. These advanced models are essential for managing the increased network traffic and enabling the low-latency, high-bandwidth applications that next-generation networks promise to deliver.
The data center industry is another key driver of market demand for advanced multiplexer models. As cloud computing and big data analytics continue to grow, data centers require more sophisticated hardware to manage the massive influx of information. Advanced multiplexers play a crucial role in optimizing data flow within these facilities, reducing bottlenecks, and improving overall efficiency.
In the automotive sector, the rise of connected and autonomous vehicles is fueling demand for advanced multiplexer models. These vehicles generate and process vast amounts of data from various sensors and systems, necessitating high-performance multiplexing solutions to manage this information effectively. The ability to rapidly process and transmit data is critical for ensuring the safety and reliability of autonomous driving systems.
The aerospace and defense industries also contribute significantly to the market demand for advanced multiplexer models. Modern aircraft and defense systems rely on complex networks of sensors and communication systems, all of which require efficient data management. Advanced multiplexers enable these systems to handle multiple data streams simultaneously, enhancing situational awareness and operational effectiveness.
Looking at market trends, there is a clear shift towards multiplexer models that offer higher channel density, lower power consumption, and improved signal integrity. This trend is driven by the need for more compact and energy-efficient solutions across all industries. Additionally, there is growing interest in software-defined multiplexers that offer greater flexibility and programmability, allowing for easier upgrades and adaptations to changing requirements.
The market for advanced multiplexer models is expected to continue its growth trajectory in the coming years. This expansion is fueled by the ongoing digital transformation across industries, the increasing adoption of Internet of Things (IoT) devices, and the push towards edge computing. As these technologies mature and become more widespread, the demand for high-performance data management solutions, including advanced multiplexers, will only intensify.
In the telecommunications sector, the demand for advanced multiplexers is particularly strong. With the ongoing rollout of 5G networks and the anticipated transition to 6G in the future, there is a critical need for multiplexers that can handle higher data rates and more complex signal processing. These advanced models are essential for managing the increased network traffic and enabling the low-latency, high-bandwidth applications that next-generation networks promise to deliver.
The data center industry is another key driver of market demand for advanced multiplexer models. As cloud computing and big data analytics continue to grow, data centers require more sophisticated hardware to manage the massive influx of information. Advanced multiplexers play a crucial role in optimizing data flow within these facilities, reducing bottlenecks, and improving overall efficiency.
In the automotive sector, the rise of connected and autonomous vehicles is fueling demand for advanced multiplexer models. These vehicles generate and process vast amounts of data from various sensors and systems, necessitating high-performance multiplexing solutions to manage this information effectively. The ability to rapidly process and transmit data is critical for ensuring the safety and reliability of autonomous driving systems.
The aerospace and defense industries also contribute significantly to the market demand for advanced multiplexer models. Modern aircraft and defense systems rely on complex networks of sensors and communication systems, all of which require efficient data management. Advanced multiplexers enable these systems to handle multiple data streams simultaneously, enhancing situational awareness and operational effectiveness.
Looking at market trends, there is a clear shift towards multiplexer models that offer higher channel density, lower power consumption, and improved signal integrity. This trend is driven by the need for more compact and energy-efficient solutions across all industries. Additionally, there is growing interest in software-defined multiplexers that offer greater flexibility and programmability, allowing for easier upgrades and adaptations to changing requirements.
The market for advanced multiplexer models is expected to continue its growth trajectory in the coming years. This expansion is fueled by the ongoing digital transformation across industries, the increasing adoption of Internet of Things (IoT) devices, and the push towards edge computing. As these technologies mature and become more widespread, the demand for high-performance data management solutions, including advanced multiplexers, will only intensify.
Technical Challenges
Advanced multiplexer models present several technical challenges that need to be addressed to boost performance effectively. One of the primary obstacles is the complexity of signal routing in high-density multiplexer designs. As the number of input channels increases, managing signal integrity and minimizing crosstalk becomes increasingly difficult. This challenge is further compounded by the need for higher operating frequencies, which can lead to signal degradation and increased electromagnetic interference.
Another significant hurdle is power consumption. As multiplexer models become more advanced and incorporate a greater number of channels, their power requirements tend to escalate. This not only impacts the overall energy efficiency of the system but also introduces thermal management issues that can affect performance and reliability. Developing power-efficient architectures that can handle complex multiplexing operations without compromising speed or accuracy is a key challenge.
Latency reduction is another critical area that demands attention. Advanced multiplexer models must be capable of switching between input channels with minimal delay to maintain high-speed data transmission. This becomes particularly challenging when dealing with diverse input signals that may have different timing characteristics or when implementing sophisticated channel selection algorithms.
The integration of multiplexers with other system components also presents technical difficulties. Ensuring seamless compatibility with various input and output interfaces, as well as with different signal processing units, requires careful design considerations. This integration challenge extends to the software domain as well, where developing efficient control algorithms and driver implementations for advanced multiplexer models can be complex.
Scalability is a further technical challenge that needs to be addressed. As applications demand ever-increasing channel counts and bandwidth, multiplexer designs must be able to scale effectively without sacrificing performance or reliability. This often requires innovative architectural approaches and the use of advanced manufacturing processes to maintain signal quality and manage heat dissipation in high-density configurations.
Lastly, the implementation of advanced features such as dynamic reconfiguration, fault tolerance, and self-calibration introduces additional layers of complexity. These features, while essential for enhancing the versatility and robustness of multiplexer models, require sophisticated control mechanisms and often involve trade-offs between performance, power consumption, and chip area.
Another significant hurdle is power consumption. As multiplexer models become more advanced and incorporate a greater number of channels, their power requirements tend to escalate. This not only impacts the overall energy efficiency of the system but also introduces thermal management issues that can affect performance and reliability. Developing power-efficient architectures that can handle complex multiplexing operations without compromising speed or accuracy is a key challenge.
Latency reduction is another critical area that demands attention. Advanced multiplexer models must be capable of switching between input channels with minimal delay to maintain high-speed data transmission. This becomes particularly challenging when dealing with diverse input signals that may have different timing characteristics or when implementing sophisticated channel selection algorithms.
The integration of multiplexers with other system components also presents technical difficulties. Ensuring seamless compatibility with various input and output interfaces, as well as with different signal processing units, requires careful design considerations. This integration challenge extends to the software domain as well, where developing efficient control algorithms and driver implementations for advanced multiplexer models can be complex.
Scalability is a further technical challenge that needs to be addressed. As applications demand ever-increasing channel counts and bandwidth, multiplexer designs must be able to scale effectively without sacrificing performance or reliability. This often requires innovative architectural approaches and the use of advanced manufacturing processes to maintain signal quality and manage heat dissipation in high-density configurations.
Lastly, the implementation of advanced features such as dynamic reconfiguration, fault tolerance, and self-calibration introduces additional layers of complexity. These features, while essential for enhancing the versatility and robustness of multiplexer models, require sophisticated control mechanisms and often involve trade-offs between performance, power consumption, and chip area.
Current Optimization
01 Improved multiplexer architecture for enhanced performance
Advanced multiplexer models incorporate improved architectures to enhance overall performance. These designs focus on optimizing signal routing, reducing latency, and increasing throughput. The improved architectures may include novel switching mechanisms, enhanced buffer management, and more efficient control logic.- Improved multiplexer architecture for enhanced performance: Advanced multiplexer models incorporate improved architectures to enhance overall performance. These designs focus on optimizing signal routing, reducing latency, and increasing throughput. The improved architectures may include novel switching mechanisms, enhanced buffer management, and more efficient signal processing techniques.
- Integration of machine learning in multiplexer systems: Modern multiplexer models leverage machine learning algorithms to optimize performance dynamically. These systems can adapt to changing network conditions, predict traffic patterns, and make intelligent routing decisions. Machine learning integration enables more efficient resource allocation and improved quality of service.
- Advanced error correction and signal integrity techniques: Next-generation multiplexer models implement sophisticated error correction and signal integrity techniques. These advancements include improved forward error correction algorithms, advanced equalization methods, and innovative signal processing techniques to maintain data integrity across high-speed channels.
- Energy-efficient multiplexer designs: Advanced multiplexer models focus on energy efficiency without compromising performance. These designs incorporate low-power components, intelligent power management systems, and optimized circuit layouts to reduce overall power consumption while maintaining high-speed data transmission capabilities.
- Scalable and flexible multiplexer architectures: Modern multiplexer models are designed with scalability and flexibility in mind. These architectures allow for easy expansion of capacity, support for multiple protocols, and seamless integration with various network topologies. The flexible designs enable better adaptability to evolving network requirements and emerging technologies.
02 Integration of machine learning algorithms in multiplexer systems
Modern multiplexer models leverage machine learning algorithms to optimize performance dynamically. These systems can adapt to changing network conditions, predict traffic patterns, and make intelligent routing decisions. The integration of AI enhances the efficiency and reliability of multiplexing operations.Expand Specific Solutions03 Advanced error correction and signal integrity techniques
Next-generation multiplexer models implement sophisticated error correction and signal integrity techniques. These advancements ensure reliable data transmission even in challenging environments. The techniques may include advanced forward error correction, adaptive equalization, and innovative noise reduction methods.Expand Specific Solutions04 Energy-efficient multiplexer designs for improved sustainability
Modern multiplexer models prioritize energy efficiency without compromising performance. These designs incorporate low-power components, intelligent power management systems, and optimized circuit layouts to reduce overall power consumption. The focus on energy efficiency contributes to more sustainable and cost-effective network infrastructure.Expand Specific Solutions05 Enhanced scalability and flexibility in multiplexer systems
Advanced multiplexer models offer improved scalability and flexibility to accommodate evolving network requirements. These systems feature modular designs, software-defined networking capabilities, and support for various protocols. The enhanced adaptability allows for easier upgrades and seamless integration with diverse network architectures.Expand Specific Solutions
Key Industry Players
The advanced multiplexer models market is in a growth phase, driven by increasing demand for high-performance computing and data processing capabilities. The market size is expanding rapidly, with major tech companies investing heavily in research and development. Technologically, the field is advancing quickly but still evolving, with companies like Intel, Qualcomm, and IBM leading innovation. These firms are developing more efficient and powerful multiplexer designs to meet the growing needs of AI, 5G, and cloud computing applications. While established players dominate, emerging companies like Ceremorphic are also making significant contributions, pushing the boundaries of multiplexer technology and performance optimization.
Intel Corp.
Technical Solution: Intel has developed advanced multiplexer models to boost performance in their processors. They utilize a technique called "Advanced Multiplexer Optimization" (AMO) which combines hardware and software optimizations. This approach involves redesigning the multiplexer circuits to reduce latency and power consumption while increasing throughput. Intel's AMO technology implements a hierarchical multiplexer structure that allows for parallel processing of multiple data streams[1]. Additionally, they have integrated machine learning algorithms to predict and optimize data flow patterns, further enhancing the efficiency of their multiplexers[3]. Intel's solution also incorporates dynamic voltage and frequency scaling to balance performance and power consumption based on workload demands[5].
Strengths: Significant performance improvements, reduced power consumption, and adaptability to various workloads. Weaknesses: Complexity in implementation and potential increased manufacturing costs.
QUALCOMM, Inc.
Technical Solution: Qualcomm has introduced a novel approach to multiplexer optimization in their mobile chipsets, focusing on enhancing 5G network performance. Their solution, termed "Dynamic Spectrum Sharing" (DSS), utilizes advanced multiplexer models to efficiently allocate spectrum resources between 4G and 5G networks[2]. This technology employs AI-driven predictive algorithms to anticipate network traffic patterns and dynamically adjust multiplexer configurations in real-time[4]. Qualcomm's multiplexer models also incorporate a technique called "Carrier Aggregation Enhancement" which allows for simultaneous use of multiple frequency bands, significantly boosting data throughput[6]. Furthermore, they have implemented a "Smart Transmit" feature that optimizes power usage across various antennas and frequency bands, improving overall system efficiency[8].
Strengths: Excellent for mobile applications, improved spectrum efficiency, and enhanced 5G performance. Weaknesses: Primarily focused on mobile networks, may have limited applicability in other domains.
Innovative Designs
Systems and methods for optimizing telemetry configuration
PatentPendingUS20250021500A1
Innovation
- The integration of broadcast multiplexers with interface controllers enables simultaneous firmware configuration and parallel telemetry polling by aggregating multiple integrated circuits to a single channel, allowing for efficient firmware download and independent polling of each device, thereby optimizing telemetry configurations and reducing host CPU load.
Methods and apparatus for feedback control of mode MUX and demux
PatentWO2022237483A1
Innovation
- Using pilot tones to modulate and detect signals in different modes, enabling dynamic tuning of the mode multiplexer to reduce crosstalk.
- Implementing a feedback control system that uses detected pilot tones to adjust the mode multiplexer, improving system tolerance to fabrication errors and temperature fluctuations.
- Combining spatial division multiplexing (SDM) with pilot tone-based feedback control to increase system capacity and spectrum efficiency.
Performance Metrics
Performance metrics play a crucial role in evaluating and optimizing the effectiveness of advanced multiplexer models. These metrics provide quantitative measures to assess various aspects of multiplexer performance, enabling engineers and researchers to make informed decisions during design, implementation, and optimization processes.
One of the primary performance metrics for multiplexer models is throughput, which measures the amount of data that can be processed or transmitted through the multiplexer in a given time period. Throughput is typically expressed in bits per second (bps) or data packets per second. Higher throughput indicates better performance and is essential for applications requiring high-speed data transmission.
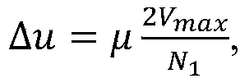
Latency is another critical metric, representing the time delay between input and output in a multiplexer system. Low latency is crucial for real-time applications and time-sensitive data processing. Latency can be measured in milliseconds or microseconds, depending on the specific requirements of the system.
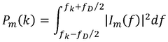
Signal-to-noise ratio (SNR) is a key metric for assessing the quality of signal transmission through multiplexers. A higher SNR indicates cleaner signal transmission with less interference, resulting in improved overall performance. This metric is particularly important in analog multiplexing systems and communication applications.
Bit error rate (BER) is a fundamental metric for digital multiplexing systems, measuring the number of bit errors per unit time. A lower BER indicates better performance and more reliable data transmission. This metric is crucial for ensuring data integrity and minimizing the need for retransmissions.
Power consumption is an increasingly important performance metric, especially in battery-powered devices and energy-efficient systems. Lower power consumption while maintaining high performance is a key goal in advanced multiplexer design. This metric is typically measured in watts or milliwatts.
Scalability is another essential metric, assessing how well a multiplexer model can handle increased load or expanded functionality. This includes the ability to add more input channels or support higher data rates without significant degradation in performance. Scalability is often evaluated through stress testing and benchmarking under various load conditions.
Flexibility and adaptability metrics measure a multiplexer's ability to handle different types of input signals and adapt to changing network conditions. This includes support for various protocols, dynamic channel allocation, and adaptive modulation techniques. These metrics are particularly important in software-defined networking and cognitive radio applications.
Reliability and fault tolerance are critical performance metrics, especially in mission-critical systems. These metrics assess the multiplexer's ability to maintain performance in the face of component failures or environmental disturbances. Mean time between failures (MTBF) and mean time to repair (MTTR) are common reliability metrics used in multiplexer evaluation.
By carefully analyzing and optimizing these performance metrics, engineers can develop advanced multiplexer models that meet the demanding requirements of modern communication and data processing systems. Continuous monitoring and improvement of these metrics are essential for staying competitive in the rapidly evolving field of multiplexer technology.
One of the primary performance metrics for multiplexer models is throughput, which measures the amount of data that can be processed or transmitted through the multiplexer in a given time period. Throughput is typically expressed in bits per second (bps) or data packets per second. Higher throughput indicates better performance and is essential for applications requiring high-speed data transmission.
Latency is another critical metric, representing the time delay between input and output in a multiplexer system. Low latency is crucial for real-time applications and time-sensitive data processing. Latency can be measured in milliseconds or microseconds, depending on the specific requirements of the system.
Signal-to-noise ratio (SNR) is a key metric for assessing the quality of signal transmission through multiplexers. A higher SNR indicates cleaner signal transmission with less interference, resulting in improved overall performance. This metric is particularly important in analog multiplexing systems and communication applications.
Bit error rate (BER) is a fundamental metric for digital multiplexing systems, measuring the number of bit errors per unit time. A lower BER indicates better performance and more reliable data transmission. This metric is crucial for ensuring data integrity and minimizing the need for retransmissions.
Power consumption is an increasingly important performance metric, especially in battery-powered devices and energy-efficient systems. Lower power consumption while maintaining high performance is a key goal in advanced multiplexer design. This metric is typically measured in watts or milliwatts.
Scalability is another essential metric, assessing how well a multiplexer model can handle increased load or expanded functionality. This includes the ability to add more input channels or support higher data rates without significant degradation in performance. Scalability is often evaluated through stress testing and benchmarking under various load conditions.
Flexibility and adaptability metrics measure a multiplexer's ability to handle different types of input signals and adapt to changing network conditions. This includes support for various protocols, dynamic channel allocation, and adaptive modulation techniques. These metrics are particularly important in software-defined networking and cognitive radio applications.
Reliability and fault tolerance are critical performance metrics, especially in mission-critical systems. These metrics assess the multiplexer's ability to maintain performance in the face of component failures or environmental disturbances. Mean time between failures (MTBF) and mean time to repair (MTTR) are common reliability metrics used in multiplexer evaluation.
By carefully analyzing and optimizing these performance metrics, engineers can develop advanced multiplexer models that meet the demanding requirements of modern communication and data processing systems. Continuous monitoring and improvement of these metrics are essential for staying competitive in the rapidly evolving field of multiplexer technology.
Implementation Strategies
Implementing advanced multiplexer models to boost performance requires a strategic approach that combines hardware optimization, software enhancements, and system-level considerations. One key strategy is to leverage parallel processing capabilities by employing multi-core architectures and distributed computing techniques. This allows for simultaneous processing of multiple data streams, significantly reducing latency and increasing throughput.
Another crucial implementation strategy involves optimizing the multiplexer's switching algorithms. By employing advanced machine learning techniques, such as reinforcement learning or neural networks, the multiplexer can adapt its switching patterns in real-time based on traffic patterns and network conditions. This dynamic approach ensures optimal resource allocation and minimizes congestion, leading to improved overall system performance.
Memory management plays a vital role in enhancing multiplexer performance. Implementing efficient caching mechanisms and buffer management techniques can significantly reduce data access times and minimize bottlenecks. Utilizing high-speed memory technologies, such as SRAM or MRAM, for critical components of the multiplexer can further accelerate data processing and routing.
To address scalability concerns, a modular design approach is recommended. This allows for easy expansion and upgrades of the multiplexer system without disrupting existing operations. Implementing standardized interfaces and protocols ensures compatibility with various network components and facilitates seamless integration into existing infrastructure.
Power efficiency is another critical aspect of implementation. Employing advanced power management techniques, such as dynamic voltage and frequency scaling (DVFS), can optimize energy consumption without compromising performance. Additionally, implementing sleep modes for idle components and intelligent power gating can further reduce power consumption during periods of low activity.
Robust error detection and correction mechanisms are essential for maintaining high reliability in multiplexer systems. Implementing forward error correction (FEC) algorithms and advanced error-checking protocols can significantly improve data integrity and reduce the need for retransmissions, thereby enhancing overall system performance.
Lastly, implementing comprehensive monitoring and analytics capabilities is crucial for ongoing performance optimization. By collecting and analyzing real-time performance metrics, system administrators can identify bottlenecks, predict potential issues, and make data-driven decisions to fine-tune the multiplexer's operation continuously.
Another crucial implementation strategy involves optimizing the multiplexer's switching algorithms. By employing advanced machine learning techniques, such as reinforcement learning or neural networks, the multiplexer can adapt its switching patterns in real-time based on traffic patterns and network conditions. This dynamic approach ensures optimal resource allocation and minimizes congestion, leading to improved overall system performance.
Memory management plays a vital role in enhancing multiplexer performance. Implementing efficient caching mechanisms and buffer management techniques can significantly reduce data access times and minimize bottlenecks. Utilizing high-speed memory technologies, such as SRAM or MRAM, for critical components of the multiplexer can further accelerate data processing and routing.
To address scalability concerns, a modular design approach is recommended. This allows for easy expansion and upgrades of the multiplexer system without disrupting existing operations. Implementing standardized interfaces and protocols ensures compatibility with various network components and facilitates seamless integration into existing infrastructure.
Power efficiency is another critical aspect of implementation. Employing advanced power management techniques, such as dynamic voltage and frequency scaling (DVFS), can optimize energy consumption without compromising performance. Additionally, implementing sleep modes for idle components and intelligent power gating can further reduce power consumption during periods of low activity.
Robust error detection and correction mechanisms are essential for maintaining high reliability in multiplexer systems. Implementing forward error correction (FEC) algorithms and advanced error-checking protocols can significantly improve data integrity and reduce the need for retransmissions, thereby enhancing overall system performance.
Lastly, implementing comprehensive monitoring and analytics capabilities is crucial for ongoing performance optimization. By collecting and analyzing real-time performance metrics, system administrators can identify bottlenecks, predict potential issues, and make data-driven decisions to fine-tune the multiplexer's operation continuously.
Unlock deeper insights with Patsnap Eureka Quick Research — get a full tech report to explore trends and direct your research. Try now!
Generate Your Research Report Instantly with AI Agent
Supercharge your innovation with Patsnap Eureka AI Agent Platform!







