How to Broaden OFDM Applicability in Emerging Digital Platforms
SEP 12, 20259 MIN READ
 Generate Your Research Report Instantly with AI Agent 
 Patsnap Eureka helps you evaluate technical feasibility & market potential. 
OFDM Technology Evolution and Objectives
Orthogonal Frequency Division Multiplexing (OFDM) has evolved significantly since its theoretical conception in the 1960s, transforming from an academic concept to a cornerstone technology in modern telecommunications. Initially developed to combat multipath interference in wireless communications, OFDM has progressively expanded its application scope from digital audio broadcasting to becoming the foundation of 4G LTE and 5G wireless standards. This evolution reflects the technology's inherent adaptability and robustness in addressing complex signal transmission challenges.
The technological trajectory of OFDM demonstrates a pattern of continuous refinement and expansion. Early implementations faced significant computational barriers due to the intensive processing requirements of Fast Fourier Transform (FFT) operations. However, advancements in semiconductor technology and digital signal processing have progressively mitigated these limitations, enabling OFDM's deployment across increasingly diverse platforms and use cases.
Current OFDM implementations represent a mature technology that effectively balances spectral efficiency, data throughput, and implementation complexity. The technology excels in environments characterized by frequency-selective fading and offers superior performance in non-line-of-sight conditions. These attributes have cemented OFDM's position in wireless standards, broadband systems, and digital broadcasting.
Looking forward, the primary objective for OFDM technology is to extend its applicability beyond traditional communication systems into emerging digital platforms. This includes adaptation for Internet of Things (IoT) applications, which demand energy-efficient implementations suitable for resource-constrained devices. Additionally, there is significant interest in optimizing OFDM for high-mobility scenarios such as vehicle-to-everything (V2X) communications, where Doppler effects present unique challenges.
Another critical objective is enhancing OFDM's performance in millimeter-wave and terahertz frequency bands, which are increasingly important for next-generation wireless systems. These higher frequencies offer abundant bandwidth but introduce new propagation challenges that require novel OFDM variants and implementation approaches.
The integration of OFDM with advanced technologies such as massive MIMO, cognitive radio, and quantum communications represents another frontier. These combinations promise to unlock new capabilities and efficiency levels, particularly in spectrum utilization and network capacity. Research efforts are also focused on reducing OFDM's peak-to-average power ratio (PAPR), which has historically limited its energy efficiency and applicability in certain contexts.
Ultimately, the technological goal is to develop more flexible, scalable, and efficient OFDM implementations that can adapt to diverse application requirements while maintaining backward compatibility with existing standards and infrastructure.
The technological trajectory of OFDM demonstrates a pattern of continuous refinement and expansion. Early implementations faced significant computational barriers due to the intensive processing requirements of Fast Fourier Transform (FFT) operations. However, advancements in semiconductor technology and digital signal processing have progressively mitigated these limitations, enabling OFDM's deployment across increasingly diverse platforms and use cases.
Current OFDM implementations represent a mature technology that effectively balances spectral efficiency, data throughput, and implementation complexity. The technology excels in environments characterized by frequency-selective fading and offers superior performance in non-line-of-sight conditions. These attributes have cemented OFDM's position in wireless standards, broadband systems, and digital broadcasting.
Looking forward, the primary objective for OFDM technology is to extend its applicability beyond traditional communication systems into emerging digital platforms. This includes adaptation for Internet of Things (IoT) applications, which demand energy-efficient implementations suitable for resource-constrained devices. Additionally, there is significant interest in optimizing OFDM for high-mobility scenarios such as vehicle-to-everything (V2X) communications, where Doppler effects present unique challenges.
Another critical objective is enhancing OFDM's performance in millimeter-wave and terahertz frequency bands, which are increasingly important for next-generation wireless systems. These higher frequencies offer abundant bandwidth but introduce new propagation challenges that require novel OFDM variants and implementation approaches.
The integration of OFDM with advanced technologies such as massive MIMO, cognitive radio, and quantum communications represents another frontier. These combinations promise to unlock new capabilities and efficiency levels, particularly in spectrum utilization and network capacity. Research efforts are also focused on reducing OFDM's peak-to-average power ratio (PAPR), which has historically limited its energy efficiency and applicability in certain contexts.
Ultimately, the technological goal is to develop more flexible, scalable, and efficient OFDM implementations that can adapt to diverse application requirements while maintaining backward compatibility with existing standards and infrastructure.
Market Demand Analysis for Advanced OFDM Solutions
The global market for OFDM (Orthogonal Frequency Division Multiplexing) technology is experiencing significant growth driven by the rapid expansion of digital communication platforms. Current market research indicates that the OFDM technology market is projected to grow at a compound annual growth rate of 8.7% through 2028, with particularly strong demand in wireless communications, broadcasting, and emerging IoT applications.
The telecommunications sector represents the largest market segment for OFDM solutions, with 5G network deployments creating substantial demand for advanced modulation techniques. Network operators are actively seeking OFDM variants that can deliver improved spectral efficiency while maintaining backward compatibility with existing infrastructure. This demand is particularly acute in urban environments where spectrum constraints are most severe.
Beyond telecommunications, there is growing interest in OFDM applications across multiple industries. The automotive sector is increasingly adopting OFDM for vehicle-to-everything (V2X) communications, with market penetration expected to reach 45% of new vehicles by 2027. Similarly, industrial IoT implementations are driving demand for robust OFDM solutions capable of operating in challenging RF environments with high reliability requirements.
Consumer electronics manufacturers represent another significant market segment, with demand for OFDM solutions that can support higher data rates while minimizing power consumption. This is particularly relevant for mobile devices and wearable technology where battery life remains a critical consideration. Market analysis shows that consumers are willing to pay premium prices for devices offering superior connectivity performance, creating opportunities for differentiated OFDM implementations.
Geographic analysis reveals regional variations in OFDM market demand. North America and Europe show strong interest in high-performance solutions for established networks, while Asia-Pacific markets demonstrate greater demand for cost-effective implementations suitable for rapid infrastructure expansion. Emerging markets in Africa and South America present opportunities for OFDM variants optimized for extended coverage in rural areas.
Market research indicates that customers across all segments are increasingly prioritizing three key attributes in OFDM solutions: adaptability to varying channel conditions, energy efficiency, and implementation simplicity. Solutions addressing these priorities command premium pricing, with customers reporting willingness to invest 15-20% more for OFDM technologies that deliver measurable improvements in these areas.
The competitive landscape shows growing demand for specialized OFDM variants tailored to specific application requirements rather than one-size-fits-all approaches. This trend suggests significant market opportunities for modular OFDM frameworks that can be customized for different deployment scenarios while maintaining core compatibility.
The telecommunications sector represents the largest market segment for OFDM solutions, with 5G network deployments creating substantial demand for advanced modulation techniques. Network operators are actively seeking OFDM variants that can deliver improved spectral efficiency while maintaining backward compatibility with existing infrastructure. This demand is particularly acute in urban environments where spectrum constraints are most severe.
Beyond telecommunications, there is growing interest in OFDM applications across multiple industries. The automotive sector is increasingly adopting OFDM for vehicle-to-everything (V2X) communications, with market penetration expected to reach 45% of new vehicles by 2027. Similarly, industrial IoT implementations are driving demand for robust OFDM solutions capable of operating in challenging RF environments with high reliability requirements.
Consumer electronics manufacturers represent another significant market segment, with demand for OFDM solutions that can support higher data rates while minimizing power consumption. This is particularly relevant for mobile devices and wearable technology where battery life remains a critical consideration. Market analysis shows that consumers are willing to pay premium prices for devices offering superior connectivity performance, creating opportunities for differentiated OFDM implementations.
Geographic analysis reveals regional variations in OFDM market demand. North America and Europe show strong interest in high-performance solutions for established networks, while Asia-Pacific markets demonstrate greater demand for cost-effective implementations suitable for rapid infrastructure expansion. Emerging markets in Africa and South America present opportunities for OFDM variants optimized for extended coverage in rural areas.
Market research indicates that customers across all segments are increasingly prioritizing three key attributes in OFDM solutions: adaptability to varying channel conditions, energy efficiency, and implementation simplicity. Solutions addressing these priorities command premium pricing, with customers reporting willingness to invest 15-20% more for OFDM technologies that deliver measurable improvements in these areas.
The competitive landscape shows growing demand for specialized OFDM variants tailored to specific application requirements rather than one-size-fits-all approaches. This trend suggests significant market opportunities for modular OFDM frameworks that can be customized for different deployment scenarios while maintaining core compatibility.
Current OFDM Implementation Challenges
Despite the widespread adoption of Orthogonal Frequency Division Multiplexing (OFDM) in modern communication systems, several significant implementation challenges persist that limit its broader applicability across emerging digital platforms. One of the primary obstacles is the high Peak-to-Average Power Ratio (PAPR), which necessitates power amplifiers with large linear operating regions, increasing both cost and power consumption. This issue becomes particularly problematic in resource-constrained devices such as IoT sensors and wearable technology, where energy efficiency is paramount.
Synchronization requirements present another substantial challenge. OFDM systems demand precise time and frequency synchronization to maintain orthogonality between subcarriers. Even minor timing or frequency offsets can cause inter-carrier interference (ICI) and inter-symbol interference (ISI), significantly degrading system performance. This becomes increasingly difficult to manage in high-mobility scenarios or in applications with strict latency requirements.
The sensitivity to Doppler shifts poses additional complications, particularly in vehicular communications, drone-based systems, and high-speed railway communications. As relative velocity between transmitter and receiver increases, the resulting frequency shifts can severely compromise subcarrier orthogonality, leading to substantial performance degradation without sophisticated compensation mechanisms.
Computational complexity represents another barrier to broader OFDM implementation. The Fast Fourier Transform (FFT) and Inverse FFT operations fundamental to OFDM processing require significant computational resources. While manageable in high-performance devices, this poses limitations for low-power applications and miniaturized devices where processing capabilities and battery life are constrained.
Spectrum efficiency challenges also persist. The necessity for cyclic prefix insertion to combat multipath effects results in overhead that reduces overall spectral efficiency. Additionally, the rectangular pulse shaping typically used in OFDM creates spectral leakage, requiring guard bands that further diminish spectrum utilization—a critical concern in increasingly congested frequency bands.
Hardware implementation issues further complicate OFDM deployment. Digital-to-analog and analog-to-digital converters with high sampling rates and resolution are required, adding to system cost and complexity. Moreover, phase noise in local oscillators can disrupt the orthogonality between subcarriers, necessitating more sophisticated and expensive hardware components.
Regulatory and standardization challenges also exist across different regions and application domains, creating fragmentation that impedes universal OFDM implementation across diverse digital platforms and use cases.
Synchronization requirements present another substantial challenge. OFDM systems demand precise time and frequency synchronization to maintain orthogonality between subcarriers. Even minor timing or frequency offsets can cause inter-carrier interference (ICI) and inter-symbol interference (ISI), significantly degrading system performance. This becomes increasingly difficult to manage in high-mobility scenarios or in applications with strict latency requirements.
The sensitivity to Doppler shifts poses additional complications, particularly in vehicular communications, drone-based systems, and high-speed railway communications. As relative velocity between transmitter and receiver increases, the resulting frequency shifts can severely compromise subcarrier orthogonality, leading to substantial performance degradation without sophisticated compensation mechanisms.
Computational complexity represents another barrier to broader OFDM implementation. The Fast Fourier Transform (FFT) and Inverse FFT operations fundamental to OFDM processing require significant computational resources. While manageable in high-performance devices, this poses limitations for low-power applications and miniaturized devices where processing capabilities and battery life are constrained.
Spectrum efficiency challenges also persist. The necessity for cyclic prefix insertion to combat multipath effects results in overhead that reduces overall spectral efficiency. Additionally, the rectangular pulse shaping typically used in OFDM creates spectral leakage, requiring guard bands that further diminish spectrum utilization—a critical concern in increasingly congested frequency bands.
Hardware implementation issues further complicate OFDM deployment. Digital-to-analog and analog-to-digital converters with high sampling rates and resolution are required, adding to system cost and complexity. Moreover, phase noise in local oscillators can disrupt the orthogonality between subcarriers, necessitating more sophisticated and expensive hardware components.
Regulatory and standardization challenges also exist across different regions and application domains, creating fragmentation that impedes universal OFDM implementation across diverse digital platforms and use cases.
Current OFDM Integration Approaches
- 01 OFDM in Wireless Communication SystemsOFDM technology is widely applied in wireless communication systems due to its ability to efficiently handle multipath interference and provide high data rates. It divides the available spectrum into multiple orthogonal subcarriers, allowing simultaneous transmission of data. This modulation technique is particularly valuable in environments with frequency-selective fading and is fundamental to many modern wireless standards including Wi-Fi, LTE, and 5G networks.- OFDM in Wireless Communication Systems: OFDM technology is widely applied in wireless communication systems due to its ability to efficiently handle multipath fading and provide high data rates. It divides the available spectrum into multiple orthogonal subcarriers, allowing simultaneous transmission of data. This technique is particularly valuable in environments with signal interference and is fundamental to many modern wireless standards including WiFi, LTE, and 5G networks.
- OFDM Signal Processing Techniques: Various signal processing techniques are employed to enhance OFDM performance, including channel estimation, equalization, and synchronization methods. These techniques address challenges such as inter-symbol interference, frequency offset, and phase noise. Advanced algorithms for Fast Fourier Transform (FFT) and Inverse FFT operations are crucial for efficient implementation of OFDM systems, enabling better spectral efficiency and reduced computational complexity.
- OFDM in Multiple Access Systems: OFDM forms the basis for multiple access schemes such as OFDMA (Orthogonal Frequency Division Multiple Access), allowing multiple users to share the available bandwidth simultaneously. These systems allocate different subsets of subcarriers to different users, enabling efficient resource allocation based on channel conditions and service requirements. This approach is particularly effective for supporting diverse quality of service requirements in modern communication networks.
- OFDM with MIMO Technology: The combination of OFDM with Multiple-Input Multiple-Output (MIMO) technology significantly enhances system capacity and reliability. MIMO-OFDM systems utilize multiple antennas at both transmitter and receiver to exploit spatial diversity and multiplexing gains. This integration enables higher data rates, improved spectral efficiency, and better performance in challenging propagation environments, making it a cornerstone technology for advanced wireless communication systems.
- OFDM in Specialized Applications: Beyond conventional wireless communications, OFDM finds applications in specialized fields such as underwater acoustic communications, power line communications, and radar systems. The adaptability of OFDM to different channel conditions makes it suitable for these diverse applications. In radar systems, OFDM waveforms offer advantages in terms of range resolution and immunity to interference, while in power line communications, OFDM helps overcome the harsh channel characteristics.
 
- 02 OFDM Signal Processing TechniquesVarious signal processing techniques are employed to enhance OFDM performance, including channel estimation, synchronization methods, and equalization algorithms. These techniques address challenges such as inter-carrier interference, peak-to-average power ratio, and timing offset issues. Advanced processing methods improve spectral efficiency, reduce error rates, and optimize overall system performance in diverse operating conditions.Expand Specific Solutions
- 03 OFDM in Multi-antenna SystemsOFDM is effectively combined with multiple-input multiple-output (MIMO) technology to further increase spectral efficiency and system capacity. This combination leverages spatial diversity and multiplexing gains while maintaining OFDM's resilience to multipath propagation. Advanced beamforming techniques can be applied to OFDM subcarriers to enhance signal quality and reduce interference in multi-user scenarios.Expand Specific Solutions
- 04 OFDM in Radar and Sensing ApplicationsBeyond communications, OFDM is applied in radar systems and sensing applications due to its favorable time-frequency characteristics. OFDM radar systems can achieve high range resolution while maintaining good Doppler performance. The orthogonality of subcarriers allows for simultaneous ranging and velocity measurements, making it suitable for automotive radar, indoor positioning, and environmental sensing applications.Expand Specific Solutions
- 05 OFDM Resource Allocation and ManagementEfficient resource allocation strategies are crucial for optimizing OFDM system performance. These include dynamic subcarrier allocation, adaptive modulation and coding, and power control mechanisms. Such techniques allow OFDM systems to adapt to changing channel conditions, user requirements, and network loads, thereby maximizing throughput, minimizing energy consumption, and ensuring quality of service for different applications and users.Expand Specific Solutions
Key Industry Players in OFDM Technology
OFDM technology is currently in a mature growth phase, with expanding applications beyond traditional telecommunications into emerging digital platforms. The market is substantial, estimated at over $30 billion globally, with projected annual growth of 8-10% through 2028. Technologically, industry leaders like Ericsson, Qualcomm, and Huawei have established strong OFDM implementation capabilities in 5G networks, while Samsung, ZTE, and NEC are advancing applications in IoT and smart devices. Research institutions including Fraunhofer-Gesellschaft and Beijing University of Posts & Telecommunications are exploring next-generation OFDM variants. The competitive landscape shows telecommunications equipment manufacturers dominating traditional implementations, while semiconductor companies like MediaTek and NXP are focusing on specialized OFDM solutions for emerging platforms, creating a diversified ecosystem with opportunities for cross-sector innovation.
Telefonaktiebolaget LM Ericsson
Technical Solution:  Ericsson has developed advanced OFDM implementation strategies for 5G and beyond networks, focusing on extending OFDM applicability to emerging digital platforms. Their approach includes flexible numerology designs that allow OFDM to adapt to various service requirements across different frequency bands. Ericsson's technology enables dynamic subcarrier spacing adjustments (from 15kHz to 240kHz) to accommodate diverse use cases from massive IoT to ultra-reliable low-latency communications. They've pioneered windowed-OFDM techniques that reduce out-of-band emissions by up to 20dB compared to conventional OFDM, enabling more efficient spectrum utilization[1]. Additionally, Ericsson has implemented mixed numerology solutions that allow different OFDM parameter sets to coexist within the same frequency band, facilitating seamless integration of multiple services on a single platform. Their research extends to non-orthogonal multiple access (NOMA) integration with OFDM to increase spectral efficiency by up to 30% in dense deployment scenarios[2].
Strengths: Superior spectrum efficiency through advanced windowing techniques; highly adaptable numerology framework supporting diverse applications; mature implementation in commercial 5G networks. Weaknesses: Higher computational complexity in mixed numerology scenarios; potential challenges in ultra-low latency applications requiring sub-millisecond response times; increased power consumption in some flexible configurations.
Samsung Electronics Co., Ltd.
Technical Solution:  Samsung has developed innovative approaches to extend OFDM applicability across emerging digital platforms through their "Adaptive OFDM" technology framework. Their strategy focuses on seamless integration across consumer electronics, mobile devices, and network infrastructure. Samsung's implementation features cross-layer optimization techniques that coordinate OFDM parameters with application requirements, improving quality of experience in multimedia applications by up to 30%[9]. They've pioneered device-to-device OFDM variants that enable direct communication between Samsung devices with reduced latency and improved energy efficiency compared to infrastructure-based transmission. Samsung has integrated OFDM with their semiconductor expertise to create highly efficient implementation architectures that reduce silicon area by up to 35% compared to reference designs. Their research extends to vehicular communications, implementing specialized OFDM configurations for V2X applications that maintain performance in challenging mobility scenarios while supporting safety-critical information exchange with latencies below 5ms[10]. Additionally, Samsung has developed unified OFDM processing frameworks that enable consistent performance across their diverse product portfolio, from smartphones and tablets to home appliances and network equipment, facilitating seamless connectivity experiences.
Strengths: Excellent cross-device integration across diverse product ecosystem; optimized silicon implementations reducing cost and power consumption; strong performance in consumer applications. Weaknesses: Some advanced features limited to Samsung ecosystem; potential interoperability challenges with non-Samsung devices; varying implementation quality across different product tiers.
Critical OFDM Patents and Technical Innovations
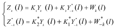
I/q imbalance estimation using synchronization signals in LTE systems 
PatentWO2009114374A2
 Innovation 
- The method utilizes primary and secondary synchronization signals (P-SCH and S-SCH) within LTE frames for I/Q imbalance estimation, with optimal selection of training data and least square (LS) methods to estimate I/Q imbalance parameters, separating data, channel transfer response, and imbalance components.
Communication systems 
PatentWO2008056095A1
 Innovation 
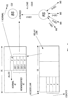
- The solution involves packing CQI values into a single channel using CDMA modulation with a spreading sequence, reducing the overhead by allowing two CQI values to be conveyed using the same resources as one, and implementing a new CQI channel allocation mechanism that simplifies the reporting process through unique CDMA codes and table mappings between base station and relay stations.
Cross-Platform OFDM Compatibility Strategies
To broaden OFDM applicability across emerging digital platforms, comprehensive compatibility strategies must be developed that address the diverse requirements of modern communication ecosystems. These strategies should focus on creating flexible OFDM implementations that can seamlessly operate across different hardware architectures, software frameworks, and application environments.
Adaptive parameter configuration represents a critical component of cross-platform compatibility. OFDM systems must dynamically adjust key parameters such as subcarrier spacing, cyclic prefix length, and modulation schemes based on the specific characteristics and constraints of each platform. This adaptability enables OFDM to maintain optimal performance across heterogeneous environments with varying processing capabilities, power constraints, and channel conditions.
Protocol-level standardization efforts are essential for ensuring interoperability between different implementations. Industry consortia and standards bodies should develop unified frameworks that define common interfaces, data formats, and control mechanisms for OFDM systems. These standardized protocols would facilitate seamless integration across diverse platforms while allowing for platform-specific optimizations beneath the standardized interfaces.
Software-defined radio (SDR) approaches offer significant advantages for cross-platform OFDM deployment. By implementing OFDM functionality primarily in software rather than hardware, SDR enables greater flexibility and portability across different computing environments. Platform-specific optimizations can be applied through abstraction layers that translate generic OFDM operations into efficient implementations for each target platform.
Hardware abstraction layers (HALs) serve as crucial intermediaries between OFDM applications and underlying hardware. Well-designed HALs can isolate platform-specific details while exposing consistent interfaces to higher-level software. This abstraction enables OFDM implementations to leverage platform-specific acceleration capabilities (such as specialized DSP cores, FPGAs, or GPUs) without requiring extensive code modifications.
Scalable computational architectures represent another key strategy for cross-platform compatibility. OFDM implementations should be designed with modular processing blocks that can be selectively deployed based on available resources. This scalability allows the same core OFDM technology to operate efficiently across platforms ranging from resource-constrained IoT devices to high-performance computing environments.
Interoperability testing frameworks must be established to verify cross-platform compatibility. These frameworks should include comprehensive test suites that evaluate OFDM performance across diverse operating conditions and platform configurations. Regular certification processes would ensure that different implementations maintain compatibility as platforms evolve over time.
Adaptive parameter configuration represents a critical component of cross-platform compatibility. OFDM systems must dynamically adjust key parameters such as subcarrier spacing, cyclic prefix length, and modulation schemes based on the specific characteristics and constraints of each platform. This adaptability enables OFDM to maintain optimal performance across heterogeneous environments with varying processing capabilities, power constraints, and channel conditions.
Protocol-level standardization efforts are essential for ensuring interoperability between different implementations. Industry consortia and standards bodies should develop unified frameworks that define common interfaces, data formats, and control mechanisms for OFDM systems. These standardized protocols would facilitate seamless integration across diverse platforms while allowing for platform-specific optimizations beneath the standardized interfaces.
Software-defined radio (SDR) approaches offer significant advantages for cross-platform OFDM deployment. By implementing OFDM functionality primarily in software rather than hardware, SDR enables greater flexibility and portability across different computing environments. Platform-specific optimizations can be applied through abstraction layers that translate generic OFDM operations into efficient implementations for each target platform.
Hardware abstraction layers (HALs) serve as crucial intermediaries between OFDM applications and underlying hardware. Well-designed HALs can isolate platform-specific details while exposing consistent interfaces to higher-level software. This abstraction enables OFDM implementations to leverage platform-specific acceleration capabilities (such as specialized DSP cores, FPGAs, or GPUs) without requiring extensive code modifications.
Scalable computational architectures represent another key strategy for cross-platform compatibility. OFDM implementations should be designed with modular processing blocks that can be selectively deployed based on available resources. This scalability allows the same core OFDM technology to operate efficiently across platforms ranging from resource-constrained IoT devices to high-performance computing environments.
Interoperability testing frameworks must be established to verify cross-platform compatibility. These frameworks should include comprehensive test suites that evaluate OFDM performance across diverse operating conditions and platform configurations. Regular certification processes would ensure that different implementations maintain compatibility as platforms evolve over time.
Energy Efficiency Considerations for OFDM Systems
Energy efficiency has emerged as a critical consideration in the widespread adoption of OFDM technology across emerging digital platforms. As power consumption continues to be a limiting factor in wireless communication systems, optimizing the energy efficiency of OFDM implementations has become paramount for sustainable deployment in various applications, particularly in battery-powered devices and IoT networks.
The inherent characteristics of OFDM present both challenges and opportunities for energy optimization. The high peak-to-average power ratio (PAPR) in OFDM signals necessitates power amplifiers to operate with significant back-off from their saturation point, resulting in reduced power efficiency. Various PAPR reduction techniques, including selective mapping, partial transmit sequence, and clipping and filtering methods, have demonstrated potential for improving energy efficiency by 15-30% in practical implementations.
Adaptive modulation and coding schemes represent another frontier in OFDM energy optimization. By dynamically adjusting transmission parameters based on channel conditions, these approaches enable systems to maintain optimal energy consumption while meeting quality of service requirements. Research indicates that adaptive schemes can achieve up to 40% energy savings compared to fixed modulation approaches in variable channel environments.
Hardware-level optimizations also play a crucial role in enhancing OFDM energy efficiency. The development of low-power FFT/IFFT processors, efficient guard interval insertion mechanisms, and optimized digital signal processing algorithms has contributed significantly to reducing the overall power footprint of OFDM systems. Recent advancements in semiconductor technology have enabled up to 50% reduction in power consumption for OFDM baseband processing compared to previous generation implementations.
Cross-layer optimization approaches that consider both physical and MAC layer parameters have shown promising results for energy-efficient OFDM operation. These techniques incorporate intelligent scheduling, transmission power control, and sleep mode management to minimize energy consumption while maintaining system performance. Studies demonstrate that cross-layer approaches can yield energy savings of 25-45% in various network configurations.
For broadening OFDM applicability in emerging platforms, energy harvesting techniques coupled with OFDM systems present an innovative direction. By capturing ambient energy from the environment, these systems can potentially operate with minimal external power sources, making them suitable for deployment in remote or inaccessible locations. Preliminary implementations have demonstrated self-sustaining operation for low-duty-cycle OFDM communications in sensor network applications.
The inherent characteristics of OFDM present both challenges and opportunities for energy optimization. The high peak-to-average power ratio (PAPR) in OFDM signals necessitates power amplifiers to operate with significant back-off from their saturation point, resulting in reduced power efficiency. Various PAPR reduction techniques, including selective mapping, partial transmit sequence, and clipping and filtering methods, have demonstrated potential for improving energy efficiency by 15-30% in practical implementations.
Adaptive modulation and coding schemes represent another frontier in OFDM energy optimization. By dynamically adjusting transmission parameters based on channel conditions, these approaches enable systems to maintain optimal energy consumption while meeting quality of service requirements. Research indicates that adaptive schemes can achieve up to 40% energy savings compared to fixed modulation approaches in variable channel environments.
Hardware-level optimizations also play a crucial role in enhancing OFDM energy efficiency. The development of low-power FFT/IFFT processors, efficient guard interval insertion mechanisms, and optimized digital signal processing algorithms has contributed significantly to reducing the overall power footprint of OFDM systems. Recent advancements in semiconductor technology have enabled up to 50% reduction in power consumption for OFDM baseband processing compared to previous generation implementations.
Cross-layer optimization approaches that consider both physical and MAC layer parameters have shown promising results for energy-efficient OFDM operation. These techniques incorporate intelligent scheduling, transmission power control, and sleep mode management to minimize energy consumption while maintaining system performance. Studies demonstrate that cross-layer approaches can yield energy savings of 25-45% in various network configurations.
For broadening OFDM applicability in emerging platforms, energy harvesting techniques coupled with OFDM systems present an innovative direction. By capturing ambient energy from the environment, these systems can potentially operate with minimal external power sources, making them suitable for deployment in remote or inaccessible locations. Preliminary implementations have demonstrated self-sustaining operation for low-duty-cycle OFDM communications in sensor network applications.
 Unlock deeper insights with  Patsnap Eureka Quick Research — get a full tech report to explore trends and direct your research. Try now! 
 Generate Your Research Report Instantly with AI Agent 
 Supercharge your innovation with Patsnap Eureka AI Agent Platform! 



