Impact of Battery Management Systems on Hybrid Vehicle Performance and Longevity
AUG 8, 20259 MIN READ
Generate Your Research Report Instantly with AI Agent
Patsnap Eureka helps you evaluate technical feasibility & market potential.
BMS Evolution and Goals
Battery Management Systems (BMS) have undergone significant evolution since their inception, driven by the increasing demands of hybrid vehicle technology. The primary goal of BMS development has been to optimize battery performance, extend battery life, and enhance overall vehicle efficiency. This evolution can be traced through several key stages, each marked by technological advancements and shifting industry priorities.
In the early stages of hybrid vehicle development, BMS primarily focused on basic battery protection and simple charge control. As hybrid technology matured, the goals expanded to include more sophisticated monitoring and management capabilities. This shift was necessitated by the growing complexity of hybrid powertrains and the need for seamless integration between electric and combustion components.
A major milestone in BMS evolution was the introduction of advanced cell balancing techniques. This development aimed to maximize battery pack capacity and longevity by ensuring uniform charge distribution across individual cells. Concurrently, thermal management became a critical focus area, with goals centered on maintaining optimal battery temperature ranges to prevent degradation and enhance performance.
The advent of lithium-ion batteries in hybrid vehicles marked another significant leap in BMS technology. This transition brought about new challenges and objectives, including more precise voltage and current monitoring, enhanced safety features to prevent thermal runaway, and sophisticated algorithms for state-of-charge and state-of-health estimation.
Recent years have seen a shift towards predictive and adaptive BMS strategies. The goals now include real-time optimization of battery usage based on driving conditions, route information, and historical data. This approach aims to further extend battery life and improve overall vehicle efficiency by intelligently managing power distribution between the electric motor and internal combustion engine.
Looking forward, the evolution of BMS is closely tied to advancements in artificial intelligence and machine learning. Future goals include developing self-learning systems capable of adapting to individual driving patterns and battery degradation over time. Additionally, there is a growing focus on integrating BMS with vehicle-to-grid (V2G) technologies, aiming to leverage hybrid vehicles as mobile energy storage units in smart grid systems.
The overarching goal of BMS evolution remains centered on maximizing the performance and longevity of hybrid vehicles. This includes improving energy efficiency, extending battery life, enhancing safety, and providing a seamless driving experience. As hybrid technology continues to advance, BMS will play an increasingly critical role in achieving these objectives and shaping the future of sustainable transportation.
In the early stages of hybrid vehicle development, BMS primarily focused on basic battery protection and simple charge control. As hybrid technology matured, the goals expanded to include more sophisticated monitoring and management capabilities. This shift was necessitated by the growing complexity of hybrid powertrains and the need for seamless integration between electric and combustion components.
A major milestone in BMS evolution was the introduction of advanced cell balancing techniques. This development aimed to maximize battery pack capacity and longevity by ensuring uniform charge distribution across individual cells. Concurrently, thermal management became a critical focus area, with goals centered on maintaining optimal battery temperature ranges to prevent degradation and enhance performance.
The advent of lithium-ion batteries in hybrid vehicles marked another significant leap in BMS technology. This transition brought about new challenges and objectives, including more precise voltage and current monitoring, enhanced safety features to prevent thermal runaway, and sophisticated algorithms for state-of-charge and state-of-health estimation.
Recent years have seen a shift towards predictive and adaptive BMS strategies. The goals now include real-time optimization of battery usage based on driving conditions, route information, and historical data. This approach aims to further extend battery life and improve overall vehicle efficiency by intelligently managing power distribution between the electric motor and internal combustion engine.
Looking forward, the evolution of BMS is closely tied to advancements in artificial intelligence and machine learning. Future goals include developing self-learning systems capable of adapting to individual driving patterns and battery degradation over time. Additionally, there is a growing focus on integrating BMS with vehicle-to-grid (V2G) technologies, aiming to leverage hybrid vehicles as mobile energy storage units in smart grid systems.
The overarching goal of BMS evolution remains centered on maximizing the performance and longevity of hybrid vehicles. This includes improving energy efficiency, extending battery life, enhancing safety, and providing a seamless driving experience. As hybrid technology continues to advance, BMS will play an increasingly critical role in achieving these objectives and shaping the future of sustainable transportation.
Hybrid Vehicle Market Trends
The hybrid vehicle market has experienced significant growth and transformation over the past decade, driven by increasing environmental concerns, stricter emissions regulations, and advancements in battery and powertrain technologies. This trend is expected to continue, with the global hybrid vehicle market projected to expand at a compound annual growth rate (CAGR) of 8.5% from 2021 to 2026.
One of the key factors fueling this growth is the rising consumer demand for fuel-efficient vehicles that offer reduced environmental impact without compromising performance. Hybrid vehicles, which combine internal combustion engines with electric motors, provide an attractive solution for consumers seeking to balance eco-friendliness with practicality. This has led to a surge in hybrid vehicle adoption across various segments, from compact cars to SUVs and even luxury vehicles.
Government initiatives and regulations have played a crucial role in shaping the hybrid vehicle market. Many countries have implemented stringent fuel efficiency standards and emissions targets, incentivizing automakers to invest in hybrid technologies. Additionally, tax incentives and subsidies for hybrid vehicle purchases have further stimulated market growth in numerous regions.
The Asia-Pacific region, particularly Japan and China, has emerged as a dominant force in the hybrid vehicle market. These countries have witnessed rapid adoption of hybrid technologies, supported by strong government backing and a robust automotive manufacturing base. Europe and North America are also experiencing steady growth in hybrid vehicle sales, driven by increasing environmental awareness and supportive policies.
Technological advancements have significantly improved the performance and efficiency of hybrid vehicles. The development of more compact and powerful batteries, along with sophisticated power management systems, has enhanced the electric driving range and overall fuel economy of hybrid models. This has led to increased consumer acceptance and a broader range of hybrid vehicle options across different price points.
The integration of advanced driver assistance systems (ADAS) and connectivity features in hybrid vehicles has further boosted their appeal. These technologies not only improve safety and convenience but also contribute to optimizing energy management and overall vehicle performance. As a result, hybrid vehicles are increasingly seen as technologically advanced and future-proof options in the automotive market.
Looking ahead, the hybrid vehicle market is expected to continue its upward trajectory, with several emerging trends shaping its future. These include the development of plug-in hybrid electric vehicles (PHEVs) with extended electric-only ranges, the integration of artificial intelligence for more efficient energy management, and the exploration of alternative hybrid powertrain configurations to suit diverse driving needs and preferences.
One of the key factors fueling this growth is the rising consumer demand for fuel-efficient vehicles that offer reduced environmental impact without compromising performance. Hybrid vehicles, which combine internal combustion engines with electric motors, provide an attractive solution for consumers seeking to balance eco-friendliness with practicality. This has led to a surge in hybrid vehicle adoption across various segments, from compact cars to SUVs and even luxury vehicles.
Government initiatives and regulations have played a crucial role in shaping the hybrid vehicle market. Many countries have implemented stringent fuel efficiency standards and emissions targets, incentivizing automakers to invest in hybrid technologies. Additionally, tax incentives and subsidies for hybrid vehicle purchases have further stimulated market growth in numerous regions.
The Asia-Pacific region, particularly Japan and China, has emerged as a dominant force in the hybrid vehicle market. These countries have witnessed rapid adoption of hybrid technologies, supported by strong government backing and a robust automotive manufacturing base. Europe and North America are also experiencing steady growth in hybrid vehicle sales, driven by increasing environmental awareness and supportive policies.
Technological advancements have significantly improved the performance and efficiency of hybrid vehicles. The development of more compact and powerful batteries, along with sophisticated power management systems, has enhanced the electric driving range and overall fuel economy of hybrid models. This has led to increased consumer acceptance and a broader range of hybrid vehicle options across different price points.
The integration of advanced driver assistance systems (ADAS) and connectivity features in hybrid vehicles has further boosted their appeal. These technologies not only improve safety and convenience but also contribute to optimizing energy management and overall vehicle performance. As a result, hybrid vehicles are increasingly seen as technologically advanced and future-proof options in the automotive market.
Looking ahead, the hybrid vehicle market is expected to continue its upward trajectory, with several emerging trends shaping its future. These include the development of plug-in hybrid electric vehicles (PHEVs) with extended electric-only ranges, the integration of artificial intelligence for more efficient energy management, and the exploration of alternative hybrid powertrain configurations to suit diverse driving needs and preferences.
BMS Challenges in Hybrids
Battery Management Systems (BMS) in hybrid vehicles face several unique challenges that significantly impact vehicle performance and longevity. One of the primary challenges is managing the complex interplay between the internal combustion engine and the electric powertrain. The BMS must constantly optimize power distribution between these two sources, ensuring efficient operation while maintaining battery health.
Thermal management presents another critical challenge for BMS in hybrids. The frequent switching between electric and combustion power can lead to rapid temperature fluctuations in the battery pack. Maintaining optimal temperature ranges is crucial for battery performance and lifespan, requiring sophisticated cooling systems and thermal control algorithms.
The diverse driving patterns associated with hybrid vehicles also pose a significant challenge for BMS. Urban driving often involves frequent starts and stops, utilizing more electric power, while highway driving relies more on the combustion engine. The BMS must adapt to these varying conditions, optimizing energy usage and regenerative braking to maximize efficiency and battery life.
State of charge (SOC) estimation is particularly challenging in hybrid vehicles due to the dynamic nature of power flow. Accurate SOC estimation is crucial for range prediction, power management, and preventing over-discharge or overcharging. The BMS must employ advanced algorithms to account for factors such as temperature, aging, and driving conditions in its SOC calculations.
Balancing battery cell voltages is another key challenge for hybrid BMS. Uneven discharge and charge rates across cells can lead to capacity imbalances over time, reducing overall battery performance and lifespan. The BMS must implement effective cell balancing strategies to maintain uniform charge levels across the entire battery pack.
Durability and longevity concerns are amplified in hybrid vehicles due to the frequent charge-discharge cycles and varying power demands. The BMS must implement strategies to mitigate battery degradation, such as limiting depth of discharge and managing charge rates, while still meeting the vehicle's performance requirements.
Lastly, the integration of BMS with other vehicle systems presents a significant challenge. The BMS must communicate seamlessly with the engine control unit, transmission control, and other onboard systems to ensure optimal overall vehicle performance. This requires robust communication protocols and system integration strategies to handle the complex interactions between various vehicle components.
Thermal management presents another critical challenge for BMS in hybrids. The frequent switching between electric and combustion power can lead to rapid temperature fluctuations in the battery pack. Maintaining optimal temperature ranges is crucial for battery performance and lifespan, requiring sophisticated cooling systems and thermal control algorithms.
The diverse driving patterns associated with hybrid vehicles also pose a significant challenge for BMS. Urban driving often involves frequent starts and stops, utilizing more electric power, while highway driving relies more on the combustion engine. The BMS must adapt to these varying conditions, optimizing energy usage and regenerative braking to maximize efficiency and battery life.
State of charge (SOC) estimation is particularly challenging in hybrid vehicles due to the dynamic nature of power flow. Accurate SOC estimation is crucial for range prediction, power management, and preventing over-discharge or overcharging. The BMS must employ advanced algorithms to account for factors such as temperature, aging, and driving conditions in its SOC calculations.
Balancing battery cell voltages is another key challenge for hybrid BMS. Uneven discharge and charge rates across cells can lead to capacity imbalances over time, reducing overall battery performance and lifespan. The BMS must implement effective cell balancing strategies to maintain uniform charge levels across the entire battery pack.
Durability and longevity concerns are amplified in hybrid vehicles due to the frequent charge-discharge cycles and varying power demands. The BMS must implement strategies to mitigate battery degradation, such as limiting depth of discharge and managing charge rates, while still meeting the vehicle's performance requirements.
Lastly, the integration of BMS with other vehicle systems presents a significant challenge. The BMS must communicate seamlessly with the engine control unit, transmission control, and other onboard systems to ensure optimal overall vehicle performance. This requires robust communication protocols and system integration strategies to handle the complex interactions between various vehicle components.
Current BMS Solutions
01 Advanced Battery Management System Algorithms
Implementing sophisticated algorithms in Battery Management Systems (BMS) to optimize performance and extend battery life. These algorithms can include adaptive charging strategies, predictive maintenance, and real-time monitoring of battery health parameters. By continuously analyzing battery data and adjusting operational parameters, these systems can significantly improve overall battery efficiency and longevity.- Advanced Battery Management System Architectures: Modern battery management systems employ sophisticated architectures to enhance performance and longevity. These systems integrate advanced sensors, control algorithms, and communication protocols to monitor and optimize battery health, charge/discharge cycles, and overall efficiency. The improved architectures allow for more accurate state estimation, predictive maintenance, and adaptive control strategies.
- Thermal Management and Safety Features: Effective thermal management is crucial for battery performance and longevity. Battery management systems incorporate advanced cooling mechanisms, temperature monitoring, and safety features to prevent overheating and thermal runaway. These systems can adjust charging rates, activate cooling systems, and implement protective measures based on real-time temperature data, ensuring optimal operating conditions and extended battery life.
- Machine Learning and AI Integration: The integration of machine learning and artificial intelligence algorithms in battery management systems significantly improves performance prediction and longevity optimization. These advanced systems can analyze vast amounts of data to identify patterns, predict potential issues, and optimize charging strategies. AI-driven BMS can adapt to individual usage patterns and environmental conditions, maximizing battery efficiency and lifespan.
- State of Health Estimation and Predictive Maintenance: Accurate estimation of a battery's state of health (SOH) is essential for predicting performance and longevity. Advanced battery management systems employ sophisticated algorithms to assess SOH based on various parameters such as capacity fade, internal resistance, and charge/discharge characteristics. This enables predictive maintenance strategies, allowing for timely interventions to extend battery life and optimize performance.
- Cell Balancing and Charge Optimization: Effective cell balancing and charge optimization techniques are crucial for maximizing battery pack performance and longevity. Advanced battery management systems implement intelligent cell balancing algorithms to ensure uniform charge distribution across all cells in a battery pack. These systems also optimize charging profiles based on battery chemistry, temperature, and usage patterns to minimize stress on the cells and extend overall battery life.
02 Thermal Management for Battery Systems
Integrating effective thermal management solutions into Battery Management Systems to maintain optimal operating temperatures. This includes active and passive cooling systems, heat dissipation techniques, and temperature-based charging controls. Proper thermal management prevents premature degradation of battery cells, enhances charging efficiency, and extends the overall lifespan of the battery pack.Expand Specific Solutions03 State of Health (SOH) and State of Charge (SOC) Estimation
Developing accurate methods for estimating the State of Health and State of Charge of batteries. This involves using advanced sensors, machine learning algorithms, and historical data analysis to provide precise information about battery condition and available capacity. Improved SOH and SOC estimation allows for better utilization of battery capacity and helps in scheduling timely maintenance or replacement.Expand Specific Solutions04 Cell Balancing Techniques
Implementing sophisticated cell balancing techniques to ensure uniform charge distribution across all cells in a battery pack. This includes active and passive balancing methods, as well as dynamic balancing algorithms that adapt to changing battery conditions. Effective cell balancing prevents overcharging or undercharging of individual cells, thereby extending the overall lifespan of the battery pack and improving its performance.Expand Specific Solutions05 Predictive Maintenance and Diagnostics
Incorporating predictive maintenance and diagnostic capabilities into Battery Management Systems. This involves using data analytics, artificial intelligence, and machine learning to forecast potential issues before they occur. By analyzing patterns in battery performance data, these systems can recommend preventive actions, optimize maintenance schedules, and provide early warnings of impending failures, thus extending battery life and improving overall system reliability.Expand Specific Solutions
Key BMS Industry Players
The Battery Management Systems (BMS) market for hybrid vehicles is in a growth phase, driven by increasing adoption of electric and hybrid vehicles worldwide. The market size is expanding rapidly, with projections indicating significant growth in the coming years. Technologically, BMS is evolving quickly, with major players like Samsung SDI, Robert Bosch, and Toyota Motor Corp leading innovations. These companies, along with others like Hyundai Motor and Ford Global Technologies, are investing heavily in R&D to improve BMS efficiency, longevity, and integration with vehicle systems. The competitive landscape is intense, with both established automotive giants and specialized tech firms vying for market share, indicating a maturing but still dynamic technology sector.
Toyota Motor Corp.
Technical Solution: Toyota has developed an advanced Battery Management System (BMS) for their hybrid vehicles, focusing on improving performance and longevity. Their system utilizes a combination of hardware and software solutions to optimize battery health and efficiency. The BMS employs sophisticated algorithms to monitor and control various parameters such as cell voltage, temperature, and state of charge in real-time[1]. Toyota's system also incorporates predictive modeling to anticipate battery degradation and adjust charging/discharging strategies accordingly[3]. Additionally, they have implemented a unique thermal management system that maintains optimal battery temperature, significantly extending battery life and performance in various climatic conditions[5].
Strengths: Industry-leading battery longevity, advanced predictive modeling, and efficient thermal management. Weaknesses: Potentially higher initial cost due to sophisticated technology implementation.
Ford Global Technologies LLC
Technical Solution: Ford's Battery Management System for hybrid vehicles focuses on maximizing energy efficiency and battery life through intelligent power distribution. Their system employs a multi-layer approach, integrating both cell-level and pack-level management strategies. At the cell level, Ford's BMS uses advanced sensing technologies to monitor individual cell voltages and temperatures with high precision[2]. The pack-level management incorporates machine learning algorithms to optimize charge/discharge cycles based on driving patterns and environmental conditions[4]. Ford has also developed a novel passive cell balancing technique that reduces energy loss during the balancing process, improving overall system efficiency[6].
Strengths: High-precision cell monitoring, adaptive learning algorithms for optimization, and energy-efficient cell balancing. Weaknesses: Complexity in system integration and potential for higher maintenance costs.
BMS Innovations Analysis
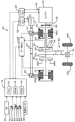
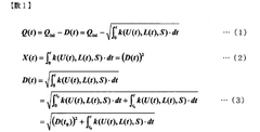
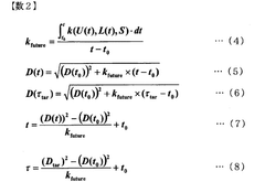
Battery management device, battery system, and hybrid vehicle control system
PatentWO2017038387A1
Innovation
- A battery management device that calculates a life expectancy value and deterioration amount target value based on usage history, using a deviation amount calculation unit to adjust charge/discharge limit values, thereby controlling battery deterioration and optimizing battery performance.
Vehicle and its control method
PatentWO2008133247A1
Innovation
- The vehicle incorporates an internal combustion engine, power generating means, an electric motor, and a battery management system that dynamically controls engine operation and motor input/output based on battery temperature, using intermittent operation and charging/discharging to maintain optimal battery temperature, while setting input/output limits and prohibiting intermittent operation under specific conditions to enhance efficiency.
Environmental Regulations
Environmental regulations play a crucial role in shaping the development and adoption of battery management systems (BMS) in hybrid vehicles. These regulations are designed to reduce greenhouse gas emissions, improve air quality, and promote sustainable transportation solutions. As governments worldwide implement stricter emissions standards, automakers are compelled to invest in advanced BMS technologies to meet these requirements.
One of the primary drivers of BMS innovation is the need to comply with increasingly stringent fuel efficiency and emissions standards. In the United States, the Corporate Average Fuel Economy (CAFE) standards have been instrumental in pushing automakers to improve the performance of hybrid vehicles. Similarly, the European Union's CO2 emissions targets for new cars have accelerated the development of more efficient BMS solutions. These regulations have led to the creation of sophisticated BMS algorithms that optimize energy distribution between the internal combustion engine and electric motor, maximizing fuel efficiency and reducing emissions.
The impact of environmental regulations on BMS extends beyond emissions control. Many countries have implemented incentives for low-emission vehicles, including tax credits, rebates, and preferential parking or lane access. These incentives have stimulated consumer demand for hybrid vehicles, driving further investment in BMS technology. As a result, BMS developers are focusing on improving battery longevity and overall vehicle performance to meet consumer expectations and maintain competitiveness in the market.
Environmental regulations have also influenced the design of BMS to address end-of-life considerations for hybrid vehicle batteries. The European Union's Battery Directive, for instance, mandates the proper disposal and recycling of automotive batteries. This has led to the development of BMS features that facilitate easier battery removal and recycling processes. Additionally, some regulations require automakers to provide warranties on hybrid vehicle batteries, encouraging the implementation of advanced BMS technologies that can extend battery life and maintain performance over time.
The global nature of environmental regulations has fostered international collaboration in BMS research and development. Automakers and suppliers are working together to create standardized BMS solutions that can meet diverse regulatory requirements across different markets. This collaboration has accelerated the pace of innovation in BMS technology, leading to more robust and efficient systems that can adapt to varying environmental conditions and driving patterns.
As environmental regulations continue to evolve, the role of BMS in hybrid vehicles is expected to become even more critical. Future regulations may focus on the entire lifecycle of hybrid vehicles, including the environmental impact of battery production and disposal. This will likely drive further advancements in BMS technology, such as improved battery health monitoring, predictive maintenance capabilities, and enhanced integration with vehicle-to-grid systems to support renewable energy initiatives.
One of the primary drivers of BMS innovation is the need to comply with increasingly stringent fuel efficiency and emissions standards. In the United States, the Corporate Average Fuel Economy (CAFE) standards have been instrumental in pushing automakers to improve the performance of hybrid vehicles. Similarly, the European Union's CO2 emissions targets for new cars have accelerated the development of more efficient BMS solutions. These regulations have led to the creation of sophisticated BMS algorithms that optimize energy distribution between the internal combustion engine and electric motor, maximizing fuel efficiency and reducing emissions.
The impact of environmental regulations on BMS extends beyond emissions control. Many countries have implemented incentives for low-emission vehicles, including tax credits, rebates, and preferential parking or lane access. These incentives have stimulated consumer demand for hybrid vehicles, driving further investment in BMS technology. As a result, BMS developers are focusing on improving battery longevity and overall vehicle performance to meet consumer expectations and maintain competitiveness in the market.
Environmental regulations have also influenced the design of BMS to address end-of-life considerations for hybrid vehicle batteries. The European Union's Battery Directive, for instance, mandates the proper disposal and recycling of automotive batteries. This has led to the development of BMS features that facilitate easier battery removal and recycling processes. Additionally, some regulations require automakers to provide warranties on hybrid vehicle batteries, encouraging the implementation of advanced BMS technologies that can extend battery life and maintain performance over time.
The global nature of environmental regulations has fostered international collaboration in BMS research and development. Automakers and suppliers are working together to create standardized BMS solutions that can meet diverse regulatory requirements across different markets. This collaboration has accelerated the pace of innovation in BMS technology, leading to more robust and efficient systems that can adapt to varying environmental conditions and driving patterns.
As environmental regulations continue to evolve, the role of BMS in hybrid vehicles is expected to become even more critical. Future regulations may focus on the entire lifecycle of hybrid vehicles, including the environmental impact of battery production and disposal. This will likely drive further advancements in BMS technology, such as improved battery health monitoring, predictive maintenance capabilities, and enhanced integration with vehicle-to-grid systems to support renewable energy initiatives.
BMS Safety Standards
Battery Management Systems (BMS) in hybrid vehicles are subject to stringent safety standards to ensure the protection of both the vehicle and its occupants. These standards are continuously evolving to address the increasing complexity and power density of modern battery systems. The International Electrotechnical Commission (IEC) has established several key standards, including IEC 62619 for safety requirements of lithium-ion batteries in industrial applications, which is often applied to hybrid vehicle BMS.
One of the primary safety concerns addressed by BMS standards is thermal runaway prevention. Standards require BMS to incorporate advanced temperature monitoring and control mechanisms to detect and mitigate potential thermal events. This includes the implementation of multi-level safety systems that can isolate faulty cells or modules to prevent cascading failures.
Electrical safety is another critical aspect covered by BMS safety standards. These regulations mandate robust insulation systems, proper grounding, and protection against short circuits and overcurrent situations. The BMS must be capable of quickly disconnecting the battery pack in case of electrical faults, utilizing high-voltage interlock loops (HVIL) and contactors to ensure rapid isolation.
Standards also address the electromagnetic compatibility (EMC) of BMS, as hybrid vehicles operate in environments with various electromagnetic interferences. BMS must demonstrate resilience against external electromagnetic disturbances and minimize their own electromagnetic emissions to prevent interference with other vehicle systems or nearby electronic devices.
Cybersecurity has become an increasingly important focus of BMS safety standards. With the growing connectivity of vehicles, standards now require BMS to incorporate robust security measures to protect against unauthorized access and potential cyber-attacks that could compromise battery performance or vehicle safety.
Functional safety standards, such as ISO 26262, play a crucial role in BMS design and implementation. These standards ensure that the BMS can maintain safe operation even in the event of hardware or software failures. This includes requirements for redundancy in critical systems, fail-safe modes, and comprehensive diagnostic capabilities.
BMS safety standards also emphasize the importance of accurate state estimation. The BMS must provide reliable measurements of the battery's state of charge (SOC) and state of health (SOH) to prevent overcharging, over-discharging, and to ensure the battery operates within its safe operating window throughout its lifecycle.
Lastly, these standards address the environmental and mechanical robustness of BMS. They must withstand extreme temperatures, vibrations, and potential impact scenarios typical in automotive applications. This ensures that the BMS remains functional and maintains its safety features even under harsh operating conditions or in the event of a collision.
One of the primary safety concerns addressed by BMS standards is thermal runaway prevention. Standards require BMS to incorporate advanced temperature monitoring and control mechanisms to detect and mitigate potential thermal events. This includes the implementation of multi-level safety systems that can isolate faulty cells or modules to prevent cascading failures.
Electrical safety is another critical aspect covered by BMS safety standards. These regulations mandate robust insulation systems, proper grounding, and protection against short circuits and overcurrent situations. The BMS must be capable of quickly disconnecting the battery pack in case of electrical faults, utilizing high-voltage interlock loops (HVIL) and contactors to ensure rapid isolation.
Standards also address the electromagnetic compatibility (EMC) of BMS, as hybrid vehicles operate in environments with various electromagnetic interferences. BMS must demonstrate resilience against external electromagnetic disturbances and minimize their own electromagnetic emissions to prevent interference with other vehicle systems or nearby electronic devices.
Cybersecurity has become an increasingly important focus of BMS safety standards. With the growing connectivity of vehicles, standards now require BMS to incorporate robust security measures to protect against unauthorized access and potential cyber-attacks that could compromise battery performance or vehicle safety.
Functional safety standards, such as ISO 26262, play a crucial role in BMS design and implementation. These standards ensure that the BMS can maintain safe operation even in the event of hardware or software failures. This includes requirements for redundancy in critical systems, fail-safe modes, and comprehensive diagnostic capabilities.
BMS safety standards also emphasize the importance of accurate state estimation. The BMS must provide reliable measurements of the battery's state of charge (SOC) and state of health (SOH) to prevent overcharging, over-discharging, and to ensure the battery operates within its safe operating window throughout its lifecycle.
Lastly, these standards address the environmental and mechanical robustness of BMS. They must withstand extreme temperatures, vibrations, and potential impact scenarios typical in automotive applications. This ensures that the BMS remains functional and maintains its safety features even under harsh operating conditions or in the event of a collision.
Unlock deeper insights with Patsnap Eureka Quick Research — get a full tech report to explore trends and direct your research. Try now!
Generate Your Research Report Instantly with AI Agent
Supercharge your innovation with Patsnap Eureka AI Agent Platform!