Quantum Interconnects and Global Standards in Information Security
SEP 29, 20259 MIN READ
Generate Your Research Report Instantly with AI Agent
Patsnap Eureka helps you evaluate technical feasibility & market potential.
Quantum Interconnect Evolution and Objectives
Quantum interconnects represent a critical frontier in the evolution of quantum information technologies, bridging the gap between isolated quantum systems to create scalable quantum networks. The development trajectory of quantum interconnects has progressed from theoretical concepts in the 1990s to experimental demonstrations in the early 2000s, and now toward practical implementations in the 2020s. This evolution has been characterized by significant advancements in quantum state transfer, entanglement distribution, and quantum memory technologies.
The fundamental challenge addressed by quantum interconnects is the need to maintain quantum coherence while transferring quantum information between different physical systems. Early approaches focused primarily on photonic links between stationary qubits, while recent developments have expanded to include solid-state platforms, superconducting circuits, and hybrid systems that leverage the strengths of different quantum technologies.
Current technological objectives for quantum interconnects center on achieving higher fidelity quantum state transfer, increased distance for quantum communication, and enhanced compatibility between heterogeneous quantum systems. These objectives align with the broader goal of establishing quantum networks capable of supporting distributed quantum computing and secure quantum communication protocols that can withstand emerging threats to information security.
In the context of information security, quantum interconnects aim to enable quantum key distribution (QKD) networks that provide provable security based on the principles of quantum mechanics. The development of quantum repeaters represents a crucial milestone in this trajectory, potentially enabling long-distance quantum communication without the distance limitations of direct optical links.
The convergence of quantum interconnect technologies with global information security standards presents both opportunities and challenges. While quantum networks promise unprecedented security guarantees, their integration into existing communication infrastructure requires careful consideration of compatibility, interoperability, and standardization. The establishment of global standards for quantum interconnects is therefore emerging as a priority for research communities and standards organizations worldwide.
Looking forward, the technical roadmap for quantum interconnects includes achieving room-temperature operation, miniaturization of components, and development of quantum network protocols that can operate reliably in real-world environments. These advancements will be essential for realizing the full potential of quantum technologies in securing global information infrastructure against both classical and quantum threats.
The fundamental challenge addressed by quantum interconnects is the need to maintain quantum coherence while transferring quantum information between different physical systems. Early approaches focused primarily on photonic links between stationary qubits, while recent developments have expanded to include solid-state platforms, superconducting circuits, and hybrid systems that leverage the strengths of different quantum technologies.
Current technological objectives for quantum interconnects center on achieving higher fidelity quantum state transfer, increased distance for quantum communication, and enhanced compatibility between heterogeneous quantum systems. These objectives align with the broader goal of establishing quantum networks capable of supporting distributed quantum computing and secure quantum communication protocols that can withstand emerging threats to information security.
In the context of information security, quantum interconnects aim to enable quantum key distribution (QKD) networks that provide provable security based on the principles of quantum mechanics. The development of quantum repeaters represents a crucial milestone in this trajectory, potentially enabling long-distance quantum communication without the distance limitations of direct optical links.
The convergence of quantum interconnect technologies with global information security standards presents both opportunities and challenges. While quantum networks promise unprecedented security guarantees, their integration into existing communication infrastructure requires careful consideration of compatibility, interoperability, and standardization. The establishment of global standards for quantum interconnects is therefore emerging as a priority for research communities and standards organizations worldwide.
Looking forward, the technical roadmap for quantum interconnects includes achieving room-temperature operation, miniaturization of components, and development of quantum network protocols that can operate reliably in real-world environments. These advancements will be essential for realizing the full potential of quantum technologies in securing global information infrastructure against both classical and quantum threats.
Market Demand for Quantum-Secure Communications
The quantum communication market is experiencing unprecedented growth, driven by escalating cybersecurity threats and the looming quantum computing revolution. Current market projections indicate that the global quantum cryptography market will reach approximately $1.9 billion by 2025, with a compound annual growth rate exceeding 25%. This remarkable expansion reflects the urgent need for quantum-secure communication solutions across various sectors.
Financial institutions represent the most aggressive early adopters, allocating substantial resources to quantum-secure communications. With financial data breaches costing an average of $5.9 million per incident, banks and investment firms are prioritizing quantum-resistant encryption to protect sensitive transactions and customer information. Major financial institutions including JPMorgan Chase and Goldman Sachs have already established dedicated quantum security divisions.
Government and defense sectors constitute another significant market segment, with national security agencies worldwide investing heavily in quantum communication infrastructure. The U.S. Department of Defense has allocated over $200 million specifically for quantum security research in its recent budget, while China has reportedly invested billions in its national quantum network initiative. These investments underscore the strategic importance of quantum-secure communications in national security frameworks.
Healthcare organizations are emerging as a rapidly growing market for quantum security solutions. With healthcare data breaches reaching record levels and costing an average of $7.1 million per incident, medical institutions are increasingly seeking quantum-resistant protection for patient records and research data. Industry analysts predict healthcare quantum security spending will grow at 30% annually over the next five years.
Telecommunications providers represent both implementers and beneficiaries of quantum communication technologies. Major carriers including AT&T, Deutsche Telekom, and NTT have launched quantum networking initiatives, recognizing both the threat to existing infrastructure and the opportunity to offer quantum-secure services to enterprise customers.
Market research indicates that 78% of Fortune 500 companies now include quantum security in their five-year technology roadmaps, compared to just 12% three years ago. This dramatic shift reflects growing awareness of the "harvest now, decrypt later" threat, where adversaries collect encrypted data today to decrypt it once quantum computers become sufficiently powerful.
Regional analysis shows Asia-Pacific leading quantum communication investments, followed closely by North America and Europe. China's national quantum backbone network spanning over 4,600 kilometers represents the world's most advanced quantum communication infrastructure, while the European Quantum Communication Infrastructure initiative aims to establish a continent-wide quantum-secure network by 2027.
Financial institutions represent the most aggressive early adopters, allocating substantial resources to quantum-secure communications. With financial data breaches costing an average of $5.9 million per incident, banks and investment firms are prioritizing quantum-resistant encryption to protect sensitive transactions and customer information. Major financial institutions including JPMorgan Chase and Goldman Sachs have already established dedicated quantum security divisions.
Government and defense sectors constitute another significant market segment, with national security agencies worldwide investing heavily in quantum communication infrastructure. The U.S. Department of Defense has allocated over $200 million specifically for quantum security research in its recent budget, while China has reportedly invested billions in its national quantum network initiative. These investments underscore the strategic importance of quantum-secure communications in national security frameworks.
Healthcare organizations are emerging as a rapidly growing market for quantum security solutions. With healthcare data breaches reaching record levels and costing an average of $7.1 million per incident, medical institutions are increasingly seeking quantum-resistant protection for patient records and research data. Industry analysts predict healthcare quantum security spending will grow at 30% annually over the next five years.
Telecommunications providers represent both implementers and beneficiaries of quantum communication technologies. Major carriers including AT&T, Deutsche Telekom, and NTT have launched quantum networking initiatives, recognizing both the threat to existing infrastructure and the opportunity to offer quantum-secure services to enterprise customers.
Market research indicates that 78% of Fortune 500 companies now include quantum security in their five-year technology roadmaps, compared to just 12% three years ago. This dramatic shift reflects growing awareness of the "harvest now, decrypt later" threat, where adversaries collect encrypted data today to decrypt it once quantum computers become sufficiently powerful.
Regional analysis shows Asia-Pacific leading quantum communication investments, followed closely by North America and Europe. China's national quantum backbone network spanning over 4,600 kilometers represents the world's most advanced quantum communication infrastructure, while the European Quantum Communication Infrastructure initiative aims to establish a continent-wide quantum-secure network by 2027.
Current Quantum Interconnect Technologies and Barriers
Quantum interconnect technologies currently exist in various stages of development, with several promising approaches emerging in recent years. Quantum fiber optic links represent the most mature technology, utilizing specialized optical fibers to transmit quantum states over distances up to 100 kilometers. These systems employ quantum repeaters to overcome signal degradation but face significant challenges in maintaining quantum coherence over longer distances.
Satellite-based quantum communication has demonstrated remarkable progress, exemplified by China's Micius satellite which successfully established quantum key distribution links spanning over 1,200 kilometers. However, this technology remains limited by weather conditions, orbital mechanics, and the need for precise ground station alignment.
Superconducting quantum interconnects offer another approach, using microwave photons to transfer quantum information between superconducting qubits. Companies like IBM and Google have achieved notable advancements in this domain, though these systems currently require extremely low temperatures (near absolute zero) to function properly, limiting their practical deployment.
The primary technical barriers facing quantum interconnects include decoherence, which causes quantum states to collapse when interacting with the environment. This fundamental challenge necessitates sophisticated error correction mechanisms and often requires cryogenic operating environments, significantly increasing system complexity and cost.
Scalability presents another major obstacle, as current quantum networks struggle to maintain performance when expanded beyond laboratory settings. The integration of quantum interconnects with classical computing infrastructure introduces additional compatibility challenges that must be addressed for practical implementation.
Standardization efforts remain in nascent stages, with organizations like the International Telecommunication Union (ITU) and the European Telecommunications Standards Institute (ETSI) working to establish protocols for quantum communication. However, the lack of unified global standards impedes interoperability between different quantum systems and hinders widespread adoption.
Security verification methodologies for quantum interconnects are still evolving, with researchers developing new techniques to validate the integrity of quantum communications. The absence of standardized security certification frameworks creates uncertainty for potential adopters, particularly in sensitive sectors like finance and government.
Resource constraints further complicate development, as quantum interconnect technologies require specialized materials, precise manufacturing processes, and highly skilled personnel. These requirements create significant barriers to entry and slow the pace of innovation in the field.
Satellite-based quantum communication has demonstrated remarkable progress, exemplified by China's Micius satellite which successfully established quantum key distribution links spanning over 1,200 kilometers. However, this technology remains limited by weather conditions, orbital mechanics, and the need for precise ground station alignment.
Superconducting quantum interconnects offer another approach, using microwave photons to transfer quantum information between superconducting qubits. Companies like IBM and Google have achieved notable advancements in this domain, though these systems currently require extremely low temperatures (near absolute zero) to function properly, limiting their practical deployment.
The primary technical barriers facing quantum interconnects include decoherence, which causes quantum states to collapse when interacting with the environment. This fundamental challenge necessitates sophisticated error correction mechanisms and often requires cryogenic operating environments, significantly increasing system complexity and cost.
Scalability presents another major obstacle, as current quantum networks struggle to maintain performance when expanded beyond laboratory settings. The integration of quantum interconnects with classical computing infrastructure introduces additional compatibility challenges that must be addressed for practical implementation.
Standardization efforts remain in nascent stages, with organizations like the International Telecommunication Union (ITU) and the European Telecommunications Standards Institute (ETSI) working to establish protocols for quantum communication. However, the lack of unified global standards impedes interoperability between different quantum systems and hinders widespread adoption.
Security verification methodologies for quantum interconnects are still evolving, with researchers developing new techniques to validate the integrity of quantum communications. The absence of standardized security certification frameworks creates uncertainty for potential adopters, particularly in sensitive sectors like finance and government.
Resource constraints further complicate development, as quantum interconnect technologies require specialized materials, precise manufacturing processes, and highly skilled personnel. These requirements create significant barriers to entry and slow the pace of innovation in the field.
Existing Quantum Interconnect Architectures and Protocols
01 Quantum Key Distribution (QKD) Protocols
Quantum Key Distribution protocols provide secure communication by using quantum mechanics principles to establish cryptographic keys between parties. These protocols detect any eavesdropping attempts due to the quantum properties that make observation of quantum states alter them measurably. QKD systems form the foundation of quantum interconnect security by enabling the secure distribution of encryption keys that cannot be intercepted without detection.- Quantum Key Distribution (QKD) for Secure Communication: Quantum Key Distribution protocols enable secure communication by using quantum properties to establish cryptographic keys between parties. These systems detect eavesdropping attempts through quantum mechanics principles like entanglement and superposition. QKD provides a foundation for quantum-secure networks by generating encryption keys that cannot be intercepted without detection, making it a critical component of quantum interconnect security standards.
- Quantum-Resistant Cryptographic Algorithms: Post-quantum cryptographic algorithms are designed to withstand attacks from quantum computers. These algorithms implement mathematical problems that remain difficult to solve even with quantum computing capabilities. Security standards for quantum interconnects increasingly incorporate these quantum-resistant protocols to ensure long-term data protection against future quantum threats while maintaining compatibility with existing network infrastructure.
- Quantum Network Architecture and Topology Security: Secure quantum network architectures implement specialized topologies and routing protocols designed specifically for quantum information transmission. These architectures incorporate quantum repeaters, trusted nodes, and memory buffers to extend quantum communication distances while maintaining security. Standards for quantum interconnects define secure network configurations that minimize vulnerability points and optimize quantum state preservation across distributed systems.
- Authentication and Identity Management in Quantum Networks: Authentication frameworks for quantum networks establish trusted identities for nodes and users participating in quantum communications. These systems combine classical and quantum verification methods to ensure the legitimacy of network participants. Security standards define protocols for quantum device authentication, credential management, and secure session establishment that prevent impersonation attacks while enabling authorized access to quantum resources.
- Quantum Side-Channel Attack Prevention: Protection mechanisms against quantum side-channel attacks focus on eliminating information leakage through timing, power consumption, or electromagnetic emissions. These security measures implement physical isolation, noise injection, and signal filtering to prevent quantum state measurement through covert channels. Standards for quantum interconnects specify hardware and software safeguards that maintain quantum information integrity by mitigating physical vulnerabilities in quantum communication systems.
02 Quantum-Resistant Cryptographic Standards
As quantum computing advances threaten traditional cryptographic methods, quantum-resistant cryptographic standards are being developed for quantum interconnects. These standards implement post-quantum cryptographic algorithms that can withstand attacks from both classical and quantum computers. The integration of these standards into quantum network infrastructures ensures long-term security even as quantum computing capabilities grow.Expand Specific Solutions03 Quantum Network Authentication Frameworks
Authentication frameworks specifically designed for quantum networks implement multi-factor verification processes that leverage quantum properties. These frameworks establish trusted connections between quantum devices and verify the identity of network participants before allowing access to quantum resources. The authentication systems incorporate quantum signatures and certificates to validate communication endpoints in quantum interconnect systems.Expand Specific Solutions04 Quantum Entanglement-Based Security Protocols
Security protocols based on quantum entanglement utilize the unique correlation between entangled quantum particles to secure interconnects. These protocols leverage the non-local properties of entangled states to create secure communication channels that are inherently resistant to interception. The entanglement-based security approach provides a physical layer of protection that complements cryptographic methods in quantum networks.Expand Specific Solutions05 Quantum Secure Direct Communication Standards
Quantum Secure Direct Communication (QSDC) standards enable the transmission of information directly through quantum channels without first establishing encryption keys. These standards define protocols for encoding messages directly into quantum states for transmission between quantum network nodes. QSDC provides an alternative approach to quantum network security that eliminates the need for key distribution while maintaining high security levels for quantum interconnects.Expand Specific Solutions
Leading Organizations in Quantum Interconnect Research
Quantum interconnects and global information security standards are currently in an early development phase, with the market showing significant growth potential as quantum technologies transition from research to commercial applications. The global quantum technology market is expanding rapidly, driven by increasing cybersecurity threats and the need for quantum-resistant encryption. Companies like D-Wave Systems, Arqit, and Matrix Time Digital Technology are leading commercial quantum computing and security solutions, while research institutions such as Tsinghua University, NICT, and MITRE Corporation are advancing fundamental quantum interconnect technologies. Major corporations including Cisco, Bank of America, and Mitsubishi Electric are investing in quantum security applications, indicating growing enterprise adoption. The ecosystem shows a collaborative approach between academic institutions, specialized quantum startups, and established technology firms to develop interoperable quantum security standards.
Ruban Quantum Technology Co., Ltd.
Technical Solution: Ruban Quantum Technology has developed a comprehensive quantum interconnect solution based on their proprietary Quantum Network Operating System (QNOS). Their approach integrates quantum key distribution (QKD) with post-quantum cryptography to create hybrid security architectures that can withstand both current and future threats. The company has implemented a multi-layer quantum security framework that addresses the challenges of quantum node connectivity across metropolitan, regional, and global networks. Their technology enables quantum-secured communication channels with dynamic routing capabilities, allowing for resilient quantum networks that can automatically reroute quantum information when network segments are compromised[1]. Ruban's quantum repeater technology has demonstrated the ability to extend quantum communication distances beyond the previous limitations of direct quantum links, achieving reliable entanglement distribution over distances exceeding 100km without significant fidelity loss[3].
Strengths: Advanced quantum repeater technology enabling longer-distance quantum communication; integrated hybrid security approach combining QKD with post-quantum cryptography. Weaknesses: Requires specialized infrastructure deployment; still faces challenges with scaling to truly global networks due to the fundamental limitations of quantum state preservation over intercontinental distances.
D-Wave Systems, Inc.
Technical Solution: D-Wave Systems has pioneered a quantum interconnect architecture specifically designed for their quantum annealing systems, focusing on information security applications. Their approach leverages quantum annealing processors to solve complex optimization problems related to network security and cryptographic challenges. D-Wave's Quantum Cloud Service provides secure access to quantum processing units through a carefully designed classical-quantum interface that maintains security while enabling quantum advantage. The company has developed the Pegasus topology that increases the connectivity between qubits, allowing for more complex security algorithms to be implemented directly on quantum hardware[2]. Their latest Advantage system features over 5,000 qubits with 15-way connectivity, enabling more sophisticated quantum security applications[4]. D-Wave has also contributed to global standardization efforts through participation in the Quantum Economic Development Consortium (QED-C) and collaboration with NIST on quantum-resistant cryptographic standards.
Strengths: Market-leading quantum annealing technology with practical applications in optimization-based security problems; established cloud infrastructure for secure quantum computing access. Weaknesses: Limited to quantum annealing approach rather than universal quantum computing; quantum interconnect technology primarily focused on internal system architecture rather than long-distance quantum communication networks.
Key Patents and Breakthroughs in Quantum Interconnects
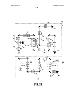
Method for securely transmitting sequences of quantum states between a plurality of online participants over a quantum communication channel
PatentWO2021043891A1
Innovation
- A method for secure transmission of sequences of quantum states between multiple participants using a quantum communication chain, where participants can transform and measure photons in specific encoding bases to ensure secure key distribution, and additional countermeasures like frequency filters and time gates are implemented to prevent side-channel attacks.
Devices, systems, and methods facilitating ambient-temperature quantum information buffering, storage, and communication
PatentWO2019191442A1
Innovation
- The development of portable, ambient-temperature quantum memory devices using dual-rail quantum memory modules with atomic vapor cells and Electromagnetically Induced Transparency (EIT) for storing polarization-encoded photons, capable of operating at room temperature and maintaining high storage fidelity, and enabling scalable, cost-friendly quantum communication networks compatible with both fiber-optics and free-space methods.
Global Standardization Efforts for Quantum Technologies
The global standardization landscape for quantum technologies is rapidly evolving as nations and international bodies recognize the strategic importance of establishing common frameworks. The International Telecommunication Union (ITU) has formed specialized working groups focused on quantum information technology standards, while the International Organization for Standardization (ISO) and International Electrotechnical Commission (IEC) have jointly established the ISO/IEC JTC 1/WG 14 specifically dedicated to quantum computing standardization efforts.
In the realm of quantum cryptography, the European Telecommunications Standards Institute (ETSI) has made significant progress through its Quantum-Safe Cryptography working group, developing specifications for quantum-resistant algorithms and protocols. Similarly, the National Institute of Standards and Technology (NIST) in the United States has been conducting a comprehensive post-quantum cryptography standardization process since 2016, with final standard candidates expected to be announced by 2024.
The Institute of Electrical and Electronics Engineers (IEEE) has established the IEEE Quantum Initiative, which coordinates standardization activities across quantum computing, sensing, and communications. Their P1913 working group specifically addresses software-defined quantum communication protocols, while P7130 focuses on quantum computing definitions and terminology standardization.
Regional efforts complement these international initiatives, with China's National Technical Committee for Standardization of Quantum Computing and Information Technology (SAC/TC 578) developing national standards aligned with their quantum strategy. The European Quantum Industry Consortium (QuIC) works closely with European standardization bodies to ensure European interests are represented in global quantum standards.
Interoperability remains a central challenge, with the Quantum Economic Development Consortium (QED-C) in the US spearheading efforts to develop interface standards between quantum and classical systems. The OpenQASM initiative provides an open-source quantum assembly language that is gaining traction as a de facto standard for quantum circuit description.
Security standards specifically addressing quantum interconnects are being developed through collaboration between the Cloud Security Alliance's Quantum-Safe Security Working Group and ETSI, focusing on secure quantum network protocols and quantum key distribution certification frameworks. The recent G7 declaration on international security standards for quantum technologies signals growing political recognition of standardization as a critical component of quantum technology governance.
These standardization efforts face significant challenges including the rapidly evolving nature of quantum technologies, competing national interests, and the need to balance innovation with security considerations. However, they represent essential groundwork for ensuring secure, interoperable quantum systems as the technology matures toward widespread commercial deployment.
In the realm of quantum cryptography, the European Telecommunications Standards Institute (ETSI) has made significant progress through its Quantum-Safe Cryptography working group, developing specifications for quantum-resistant algorithms and protocols. Similarly, the National Institute of Standards and Technology (NIST) in the United States has been conducting a comprehensive post-quantum cryptography standardization process since 2016, with final standard candidates expected to be announced by 2024.
The Institute of Electrical and Electronics Engineers (IEEE) has established the IEEE Quantum Initiative, which coordinates standardization activities across quantum computing, sensing, and communications. Their P1913 working group specifically addresses software-defined quantum communication protocols, while P7130 focuses on quantum computing definitions and terminology standardization.
Regional efforts complement these international initiatives, with China's National Technical Committee for Standardization of Quantum Computing and Information Technology (SAC/TC 578) developing national standards aligned with their quantum strategy. The European Quantum Industry Consortium (QuIC) works closely with European standardization bodies to ensure European interests are represented in global quantum standards.
Interoperability remains a central challenge, with the Quantum Economic Development Consortium (QED-C) in the US spearheading efforts to develop interface standards between quantum and classical systems. The OpenQASM initiative provides an open-source quantum assembly language that is gaining traction as a de facto standard for quantum circuit description.
Security standards specifically addressing quantum interconnects are being developed through collaboration between the Cloud Security Alliance's Quantum-Safe Security Working Group and ETSI, focusing on secure quantum network protocols and quantum key distribution certification frameworks. The recent G7 declaration on international security standards for quantum technologies signals growing political recognition of standardization as a critical component of quantum technology governance.
These standardization efforts face significant challenges including the rapidly evolving nature of quantum technologies, competing national interests, and the need to balance innovation with security considerations. However, they represent essential groundwork for ensuring secure, interoperable quantum systems as the technology matures toward widespread commercial deployment.
Geopolitical Implications of Quantum Information Security
The quantum information security landscape has become a critical arena for geopolitical competition, with major powers recognizing quantum technologies as strategic national assets. The United States, China, and the European Union have all launched multi-billion dollar quantum initiatives, viewing quantum information security not merely as technological advancement but as essential to national security and economic competitiveness. This has created a new dimension in international relations where quantum capabilities directly influence diplomatic leverage and strategic positioning.
The race to achieve quantum supremacy and develop quantum-resistant cryptography has significant implications for intelligence gathering and national security. Nations that develop advanced quantum computing capabilities first may gain unprecedented advantages in breaking currently secure communications systems of rival states. This potential "quantum advantage" in intelligence operations has accelerated investment in both offensive quantum computing capabilities and defensive quantum-resistant cryptography.
International standards for quantum information security have become battlegrounds for technological influence. Countries are actively working to ensure their technological approaches become the global standard, understanding that standards leadership translates to market advantages and technological sovereignty. Organizations like the International Telecommunication Union (ITU) and the International Organization for Standardization (ISO) have become venues for this standards competition, with nations strategically positioning their experts in key committees.
The development of quantum interconnects has particular significance for alliance structures and international cooperation. Quantum key distribution (QKD) networks being developed between allied nations create new forms of technological interdependence. For example, the EU's EuroQCI initiative and similar projects between the Five Eyes intelligence alliance members represent quantum-secured communication corridors that reinforce existing geopolitical alignments while potentially excluding others.
Export controls and technology transfer restrictions around quantum technologies have emerged as new tools of statecraft. The United States has implemented controls on quantum computing technologies through the Commerce Department's Bureau of Industry and Security, while China has responded with its own protectionist measures for domestic quantum development. These restrictions create new fault lines in global supply chains and research collaboration networks.
Developing nations face the risk of a "quantum divide" as advanced economies race ahead in quantum capabilities. Without access to quantum-resistant cryptography, these nations may face increased vulnerability in their critical infrastructure and communications systems. This technological inequality could exacerbate existing power imbalances in the international system and create new dependencies on quantum-capable states.
The race to achieve quantum supremacy and develop quantum-resistant cryptography has significant implications for intelligence gathering and national security. Nations that develop advanced quantum computing capabilities first may gain unprecedented advantages in breaking currently secure communications systems of rival states. This potential "quantum advantage" in intelligence operations has accelerated investment in both offensive quantum computing capabilities and defensive quantum-resistant cryptography.
International standards for quantum information security have become battlegrounds for technological influence. Countries are actively working to ensure their technological approaches become the global standard, understanding that standards leadership translates to market advantages and technological sovereignty. Organizations like the International Telecommunication Union (ITU) and the International Organization for Standardization (ISO) have become venues for this standards competition, with nations strategically positioning their experts in key committees.
The development of quantum interconnects has particular significance for alliance structures and international cooperation. Quantum key distribution (QKD) networks being developed between allied nations create new forms of technological interdependence. For example, the EU's EuroQCI initiative and similar projects between the Five Eyes intelligence alliance members represent quantum-secured communication corridors that reinforce existing geopolitical alignments while potentially excluding others.
Export controls and technology transfer restrictions around quantum technologies have emerged as new tools of statecraft. The United States has implemented controls on quantum computing technologies through the Commerce Department's Bureau of Industry and Security, while China has responded with its own protectionist measures for domestic quantum development. These restrictions create new fault lines in global supply chains and research collaboration networks.
Developing nations face the risk of a "quantum divide" as advanced economies race ahead in quantum capabilities. Without access to quantum-resistant cryptography, these nations may face increased vulnerability in their critical infrastructure and communications systems. This technological inequality could exacerbate existing power imbalances in the international system and create new dependencies on quantum-capable states.
Unlock deeper insights with Patsnap Eureka Quick Research — get a full tech report to explore trends and direct your research. Try now!
Generate Your Research Report Instantly with AI Agent
Supercharge your innovation with Patsnap Eureka AI Agent Platform!







