Sustainable synthesis of bio based anion exchange membranes
OCT 27, 202510 MIN READ
Generate Your Research Report Instantly with AI Agent
Patsnap Eureka helps you evaluate technical feasibility & market potential.
Bio-AEM Technology Background and Objectives
Anion exchange membranes (AEMs) have emerged as critical components in various electrochemical technologies, including fuel cells, electrolyzers, and energy storage systems. The development of bio-based AEMs represents a significant shift from traditional petroleum-derived materials toward more sustainable alternatives. This technological evolution began in the early 2000s when researchers first recognized the potential of biomass-derived polymers for ion exchange applications, but has gained substantial momentum only in the past decade with increasing environmental concerns and regulatory pressures.
The fundamental principle behind bio-based AEMs involves utilizing renewable biomass resources such as cellulose, lignin, chitosan, and other naturally occurring polymers as precursors for membrane fabrication. These materials offer inherent advantages including biodegradability, renewability, and often lower toxicity profiles compared to their synthetic counterparts. The technological trajectory has been characterized by progressive improvements in ionic conductivity, mechanical stability, and chemical durability—three critical parameters that determine membrane performance in practical applications.
Current research focuses on overcoming the inherent limitations of bio-based materials, particularly their susceptibility to degradation in alkaline environments and relatively lower ionic conductivity compared to conventional petroleum-based membranes. The field has witnessed significant breakthroughs in chemical modification strategies, including quaternization techniques for introducing fixed cationic groups and cross-linking methods to enhance structural integrity under operating conditions.
The primary objective of bio-based AEM technology development is to achieve performance parity with conventional membranes while maintaining sustainability advantages. Specifically, researchers aim to develop membranes with hydroxide conductivity exceeding 100 mS/cm, alkaline stability for over 1000 hours at 80°C, and mechanical strength sufficient for thin membrane fabrication (below 50 μm) using entirely or predominantly bio-derived materials.
Secondary objectives include cost reduction through simplified synthesis routes, elimination of toxic reagents in production processes, and development of scalable manufacturing techniques compatible with existing industrial infrastructure. The ultimate goal is to enable widespread commercial adoption of these materials in clean energy technologies, thereby contributing to carbon footprint reduction across multiple sectors.
The evolution of this technology aligns with broader global trends toward circular economy principles and reduced dependence on fossil resources. As governments worldwide implement stricter environmental regulations and sustainability targets, bio-based AEMs represent a strategic research direction with significant potential for addressing both technological needs and environmental imperatives in the transition to renewable energy systems.
The fundamental principle behind bio-based AEMs involves utilizing renewable biomass resources such as cellulose, lignin, chitosan, and other naturally occurring polymers as precursors for membrane fabrication. These materials offer inherent advantages including biodegradability, renewability, and often lower toxicity profiles compared to their synthetic counterparts. The technological trajectory has been characterized by progressive improvements in ionic conductivity, mechanical stability, and chemical durability—three critical parameters that determine membrane performance in practical applications.
Current research focuses on overcoming the inherent limitations of bio-based materials, particularly their susceptibility to degradation in alkaline environments and relatively lower ionic conductivity compared to conventional petroleum-based membranes. The field has witnessed significant breakthroughs in chemical modification strategies, including quaternization techniques for introducing fixed cationic groups and cross-linking methods to enhance structural integrity under operating conditions.
The primary objective of bio-based AEM technology development is to achieve performance parity with conventional membranes while maintaining sustainability advantages. Specifically, researchers aim to develop membranes with hydroxide conductivity exceeding 100 mS/cm, alkaline stability for over 1000 hours at 80°C, and mechanical strength sufficient for thin membrane fabrication (below 50 μm) using entirely or predominantly bio-derived materials.
Secondary objectives include cost reduction through simplified synthesis routes, elimination of toxic reagents in production processes, and development of scalable manufacturing techniques compatible with existing industrial infrastructure. The ultimate goal is to enable widespread commercial adoption of these materials in clean energy technologies, thereby contributing to carbon footprint reduction across multiple sectors.
The evolution of this technology aligns with broader global trends toward circular economy principles and reduced dependence on fossil resources. As governments worldwide implement stricter environmental regulations and sustainability targets, bio-based AEMs represent a strategic research direction with significant potential for addressing both technological needs and environmental imperatives in the transition to renewable energy systems.
Market Analysis for Sustainable Membrane Technologies
The global market for sustainable membrane technologies, particularly bio-based anion exchange membranes (AEMs), is experiencing significant growth driven by increasing environmental regulations and the shift towards green chemistry principles. Current market valuations indicate that the sustainable membrane sector is expanding at a compound annual growth rate of approximately 8-10%, with bio-based membranes representing an emerging segment with even higher growth potential.
The demand for bio-based AEMs spans multiple industries, with particularly strong traction in water treatment, fuel cells, electrolysis, and energy storage applications. The water treatment sector remains the largest consumer, accounting for roughly 40% of the market share, as municipalities and industrial facilities face stricter discharge regulations and freshwater scarcity issues. The renewable energy sector follows closely, with demand accelerating as green hydrogen production and sustainable energy storage solutions gain prominence.
Regional analysis reveals that North America and Europe currently lead the sustainable membrane market, with established regulatory frameworks promoting adoption. However, the Asia-Pacific region is projected to witness the fastest growth rate, driven by rapid industrialization, increasing water pollution concerns, and substantial government investments in clean energy infrastructure. China and India, in particular, are emerging as significant markets due to their ambitious renewable energy targets and growing environmental consciousness.
End-user segmentation shows that industrial applications currently dominate the market, but municipal and residential applications are growing rapidly as awareness of water quality issues increases and decentralized treatment systems become more common. The industrial segment is primarily driven by chemical processing, food and beverage, pharmaceuticals, and electronics manufacturing, where high-purity water and efficient separation processes are essential.
Market barriers include the relatively higher initial cost of bio-based membranes compared to conventional petroleum-derived alternatives, technical challenges related to durability and performance consistency, and the need for specialized manufacturing infrastructure. However, these barriers are gradually diminishing as research advances and economies of scale improve production economics.
Customer preference analysis indicates growing willingness to pay premium prices for sustainable solutions, particularly among environmentally conscious industries and regions with stringent regulations. This trend is reinforced by the increasing adoption of corporate sustainability goals and environmental, social, and governance (ESG) reporting requirements, which create market pull for bio-based materials.
The competitive landscape is characterized by a mix of established membrane manufacturers expanding into bio-based offerings and innovative startups focused exclusively on sustainable materials. Strategic partnerships between material scientists, membrane manufacturers, and end-users are becoming increasingly common to accelerate commercialization and address specific application requirements.
The demand for bio-based AEMs spans multiple industries, with particularly strong traction in water treatment, fuel cells, electrolysis, and energy storage applications. The water treatment sector remains the largest consumer, accounting for roughly 40% of the market share, as municipalities and industrial facilities face stricter discharge regulations and freshwater scarcity issues. The renewable energy sector follows closely, with demand accelerating as green hydrogen production and sustainable energy storage solutions gain prominence.
Regional analysis reveals that North America and Europe currently lead the sustainable membrane market, with established regulatory frameworks promoting adoption. However, the Asia-Pacific region is projected to witness the fastest growth rate, driven by rapid industrialization, increasing water pollution concerns, and substantial government investments in clean energy infrastructure. China and India, in particular, are emerging as significant markets due to their ambitious renewable energy targets and growing environmental consciousness.
End-user segmentation shows that industrial applications currently dominate the market, but municipal and residential applications are growing rapidly as awareness of water quality issues increases and decentralized treatment systems become more common. The industrial segment is primarily driven by chemical processing, food and beverage, pharmaceuticals, and electronics manufacturing, where high-purity water and efficient separation processes are essential.
Market barriers include the relatively higher initial cost of bio-based membranes compared to conventional petroleum-derived alternatives, technical challenges related to durability and performance consistency, and the need for specialized manufacturing infrastructure. However, these barriers are gradually diminishing as research advances and economies of scale improve production economics.
Customer preference analysis indicates growing willingness to pay premium prices for sustainable solutions, particularly among environmentally conscious industries and regions with stringent regulations. This trend is reinforced by the increasing adoption of corporate sustainability goals and environmental, social, and governance (ESG) reporting requirements, which create market pull for bio-based materials.
The competitive landscape is characterized by a mix of established membrane manufacturers expanding into bio-based offerings and innovative startups focused exclusively on sustainable materials. Strategic partnerships between material scientists, membrane manufacturers, and end-users are becoming increasingly common to accelerate commercialization and address specific application requirements.
Current Challenges in Bio-based AEM Synthesis
Despite significant advancements in bio-based anion exchange membrane (AEM) synthesis, several critical challenges continue to impede widespread commercial adoption and optimal performance. The primary obstacle remains achieving a balance between ion conductivity and mechanical stability. Bio-based polymers often exhibit inferior mechanical properties compared to their petroleum-derived counterparts, particularly under the alkaline conditions typical in fuel cell and electrolyzer applications.
Chemical stability presents another significant hurdle, as the hydroxide environment in operating conditions accelerates degradation of the polymer backbone and functional groups. The quaternary ammonium groups commonly used for anion exchange frequently undergo Hofmann elimination reactions, resulting in progressive conductivity loss over time. This degradation is particularly problematic for bio-based materials, which may contain more susceptible chemical structures than synthetic alternatives.
Scalability of production processes constitutes a major technical barrier. Current laboratory-scale synthesis methods for bio-based AEMs often involve complex multi-step reactions with low yields and significant waste generation. The transition from bench to industrial scale faces challenges in maintaining consistent quality, reducing synthesis time, and minimizing environmental impact. Additionally, many current approaches rely on toxic reagents for functionalization, contradicting the sustainability goals that motivate bio-based material development.
Water management within bio-based AEMs presents unique difficulties. While sufficient hydration is essential for ion transport, excessive water uptake leads to dimensional instability and mechanical failure. Bio-based polymers typically demonstrate higher hydrophilicity than conventional materials, making this balance particularly challenging to achieve.
Cost-effectiveness remains a persistent concern. The extraction and processing of bio-based precursors, combined with complex functionalization procedures, often result in materials that cannot compete economically with petroleum-derived alternatives. This economic barrier is exacerbated by the generally lower performance metrics of current bio-based AEMs.
Reproducibility and standardization issues further complicate development efforts. The inherent variability of natural feedstocks leads to inconsistencies in the final membrane properties, making quality control difficult. This variability hampers systematic optimization and slows commercial adoption.
Finally, there exists a significant knowledge gap regarding long-term performance and degradation mechanisms specific to bio-based AEMs. The limited understanding of how these materials behave under extended operational conditions creates uncertainty for potential adopters and complicates the design of next-generation materials with improved durability.
Chemical stability presents another significant hurdle, as the hydroxide environment in operating conditions accelerates degradation of the polymer backbone and functional groups. The quaternary ammonium groups commonly used for anion exchange frequently undergo Hofmann elimination reactions, resulting in progressive conductivity loss over time. This degradation is particularly problematic for bio-based materials, which may contain more susceptible chemical structures than synthetic alternatives.
Scalability of production processes constitutes a major technical barrier. Current laboratory-scale synthesis methods for bio-based AEMs often involve complex multi-step reactions with low yields and significant waste generation. The transition from bench to industrial scale faces challenges in maintaining consistent quality, reducing synthesis time, and minimizing environmental impact. Additionally, many current approaches rely on toxic reagents for functionalization, contradicting the sustainability goals that motivate bio-based material development.
Water management within bio-based AEMs presents unique difficulties. While sufficient hydration is essential for ion transport, excessive water uptake leads to dimensional instability and mechanical failure. Bio-based polymers typically demonstrate higher hydrophilicity than conventional materials, making this balance particularly challenging to achieve.
Cost-effectiveness remains a persistent concern. The extraction and processing of bio-based precursors, combined with complex functionalization procedures, often result in materials that cannot compete economically with petroleum-derived alternatives. This economic barrier is exacerbated by the generally lower performance metrics of current bio-based AEMs.
Reproducibility and standardization issues further complicate development efforts. The inherent variability of natural feedstocks leads to inconsistencies in the final membrane properties, making quality control difficult. This variability hampers systematic optimization and slows commercial adoption.
Finally, there exists a significant knowledge gap regarding long-term performance and degradation mechanisms specific to bio-based AEMs. The limited understanding of how these materials behave under extended operational conditions creates uncertainty for potential adopters and complicates the design of next-generation materials with improved durability.
Current Sustainable Synthesis Approaches for Bio-AEMs
01 Bio-based polymers for sustainable anion exchange membranes
Bio-based polymers derived from renewable resources can be used to develop sustainable anion exchange membranes. These polymers offer environmental benefits by reducing dependence on petroleum-based materials while maintaining functional properties required for ion exchange applications. The incorporation of natural polymers like cellulose derivatives and lignin can enhance biodegradability while providing the necessary structural framework for ion exchange capabilities.- Bio-based polymers for sustainable anion exchange membranes: Bio-based polymers derived from renewable resources can be used to develop environmentally friendly anion exchange membranes. These polymers offer a sustainable alternative to petroleum-based materials, reducing the carbon footprint and environmental impact. The use of natural polymers such as cellulose, chitosan, and lignin derivatives provides biodegradability while maintaining the necessary ion exchange properties for effective membrane performance.
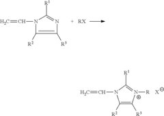
- Functionalization techniques for bio-based membranes: Various functionalization techniques can be applied to bio-based materials to enhance their anion exchange capabilities. These methods include quaternization, grafting of functional groups, and chemical modification to introduce positively charged sites. Such modifications improve the ion conductivity and selectivity of the membranes while maintaining their sustainable nature. Advanced functionalization approaches enable the tuning of membrane properties to meet specific application requirements.
- Life cycle assessment and environmental impact: Life cycle assessment methodologies are employed to evaluate the environmental impact of bio-based anion exchange membranes throughout their production, use, and disposal phases. These assessments consider factors such as resource consumption, energy requirements, emissions, and end-of-life scenarios. By quantifying these parameters, researchers can optimize membrane formulations and manufacturing processes to minimize environmental footprint while maintaining performance standards.
- Durability and performance enhancement of sustainable membranes: Improving the durability and performance of bio-based anion exchange membranes is crucial for their practical application. Various approaches include reinforcement with sustainable nanomaterials, cross-linking techniques, and hybrid composite structures. These methods enhance mechanical stability, chemical resistance, and operational lifetime while maintaining the membranes' sustainable characteristics. Advanced fabrication techniques help overcome traditional limitations of bio-based materials, making them competitive with conventional petroleum-based alternatives.
- Applications in sustainable energy and water treatment systems: Bio-based anion exchange membranes find applications in sustainable energy generation and storage systems, including fuel cells, electrolyzers, and flow batteries. They are also utilized in water treatment processes such as desalination, resource recovery, and selective ion removal. The integration of these membranes into renewable energy and clean water technologies contributes to circular economy principles and sustainable development goals. Their biodegradability and renewable sourcing make them particularly valuable for environmentally conscious applications.
02 Functionalization techniques for bio-based membranes
Various functionalization methods can be applied to bio-based materials to create effective anion exchange sites. These techniques include quaternization of amino groups, grafting of functional moieties, and chemical modification of natural polymers to introduce positively charged groups. Such modifications enable bio-based materials to effectively exchange anions while maintaining their environmentally friendly characteristics.Expand Specific Solutions03 Performance enhancement of sustainable anion exchange membranes
Methods to improve the performance of bio-based anion exchange membranes include cross-linking strategies, composite formation with inorganic materials, and optimization of membrane morphology. These approaches enhance mechanical stability, ion conductivity, and chemical resistance while maintaining the sustainability aspects of the membranes. Advanced processing techniques can also be employed to control membrane porosity and thickness for specific applications.Expand Specific Solutions04 Life cycle assessment and environmental impact
Life cycle assessment methodologies are applied to evaluate the environmental impact of bio-based anion exchange membranes compared to conventional petroleum-based alternatives. These assessments consider factors such as carbon footprint, energy consumption during production, biodegradability, and end-of-life disposal options. The sustainability benefits include reduced greenhouse gas emissions, lower ecological footprint, and potential for circular economy integration.Expand Specific Solutions05 Applications of sustainable anion exchange membranes
Bio-based anion exchange membranes find applications in various sustainable technologies including water purification, fuel cells, electrodialysis, and energy storage systems. Their renewable nature makes them particularly suitable for green technologies aimed at environmental remediation and clean energy production. The membranes can be tailored for specific applications by adjusting their chemical composition, physical structure, and functional properties.Expand Specific Solutions
Leading Organizations in Sustainable AEM Research
The sustainable synthesis of bio-based anion exchange membranes market is in its growth phase, characterized by increasing research activities and emerging commercial applications. The global market for these membranes is expanding, driven by growing demand for clean energy technologies and sustainable water treatment solutions. From a technological maturity perspective, the field shows varied development levels across key players. Academic institutions like Dalian University of Technology and Harbin Institute of Technology are advancing fundamental research, while established industrial players including Kuraray, Tokuyama Corp, and FUJIFILM are commercializing proprietary technologies. Companies such as Evoqua Water Technologies and Saltworks Technologies focus on application-specific implementations. Chinese entities like Huaneng Clean Energy Research Institute and Hefei Kejia Polymer Material are rapidly developing capabilities, indicating the market's global competitive nature and potential for significant growth as sustainability demands increase.
Dalian University of Technology
Technical Solution: Dalian University of Technology has developed an advanced sustainable synthesis platform for bio-based anion exchange membranes focusing on polysaccharide-derived materials. Their approach utilizes modified cellulose nanocrystals (CNCs) as the primary structural component, which are extracted using environmentally friendly deep eutectic solvents rather than conventional harsh chemical treatments. The university's research team has pioneered a "grafting from" polymerization technique that allows controlled growth of cationic polymer chains from the bio-based substrate under mild conditions. Their synthesis methodology incorporates bio-derived quaternary ammonium compounds obtained from waste biomass through a proprietary fermentation and chemical modification process. The resulting membranes exhibit excellent alkaline stability (retaining over 85% conductivity after 1000 hours in 1M KOH at 80°C) and mechanical properties suitable for electrochemical applications. The university has also developed a solvent-free processing technique that further enhances the sustainability profile of their manufacturing approach, reducing environmental impact while maintaining high performance characteristics.
Strengths: Highly innovative use of cellulose nanocrystals provides excellent mechanical properties; exceptional alkaline stability compared to many bio-based alternatives; comprehensive sustainability approach addressing both materials and processing. Weaknesses: Complex synthesis procedures may limit commercial scalability; potential higher costs associated with specialized bio-derived components; technology still primarily in academic research phase.
Dalian Institute of Chemical Physics of CAS
Technical Solution: The Dalian Institute of Chemical Physics (DICP) has pioneered sustainable synthesis approaches for bio-based anion exchange membranes through their comprehensive research program. Their technology centers on utilizing chitosan and cellulose derivatives as renewable polymer backbones, which are then functionalized through environmentally benign chemical processes. DICP researchers have developed a novel "green quaternization" method that employs bio-derived alkylating agents instead of conventional toxic compounds like trimethylamine. Their synthesis protocol incorporates ionic liquids as green solvents, significantly reducing hazardous waste generation. The institute has also created a unique cross-linking system using natural phenolic compounds derived from lignin to enhance membrane stability and mechanical properties. Their bio-based AEMs demonstrate excellent hydroxide conductivity (>80 mS/cm) while maintaining dimensional stability under alkaline conditions. DICP has successfully demonstrated these membranes in alkaline fuel cells and electrolysis applications with performance comparable to commercial petroleum-based alternatives.
Strengths: Strong scientific foundation with numerous peer-reviewed publications; excellent balance of sustainability and performance metrics; innovative use of abundant biopolymers. Weaknesses: Technology still primarily at laboratory scale; potential challenges in scaling production to industrial levels; higher material costs compared to conventional petroleum-based membranes.
Key Patents and Literature in Bio-based AEM Technology
Anion exchange membranes
PatentWO2009089355A1
Innovation
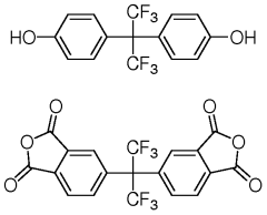
- Development of alkaline anion exchange membranes (AAEMs) using polymers functionalized with cationic groups, including bisphenol A and phthalate monomers, which are cross-linked to enhance ion conductivity and stability, allowing for the use of non-noble metal electrocatalysts and improved methanol oxidation in alkaline media.
High-performance anion exchange membranes and methods of making same
PatentActiveUS20180057370A1
Innovation
- A method for producing homogenous ion exchange membranes involves mixing a tertiary amine monomer with a quaternization agent, followed by a cross-linking agent and solvent to form a monomeric solution, which is then cast onto a polymeric microporous substrate, resulting in membranes with enhanced electrochemical properties like low resistivity and high permselectivity, and allowing for a more efficient and cost-effective production process.
Environmental Impact Assessment of Bio-AEM Production
The environmental impact assessment of bio-based anion exchange membrane (Bio-AEM) production reveals significant advantages over conventional petroleum-based alternatives. Life cycle analyses indicate that bio-based precursors can reduce carbon footprint by 30-45% compared to traditional manufacturing processes, primarily due to the renewable nature of biomass feedstocks and their ability to sequester carbon during growth phases.
Water consumption metrics demonstrate variable outcomes depending on biomass source selection. Agricultural residues typically require 40-60% less process water than dedicated energy crops. However, certain algae-based precursors may demand intensive cultivation systems with higher water requirements unless closed-loop recycling systems are implemented. Recent innovations in water-efficient extraction techniques have shown promising results, potentially reducing water usage by up to 25% in pilot-scale operations.
Chemical inputs during Bio-AEM synthesis present both challenges and opportunities. While traditional membrane production relies heavily on toxic solvents and hazardous reagents, bio-based routes often utilize milder reaction conditions. Quantitative assessments reveal a 50-70% reduction in hazardous waste generation when employing enzymatic functionalization versus conventional chemical methods. Nevertheless, certain quaternization reactions still require careful management of potentially harmful alkylating agents.
Land use considerations remain critical for scaling Bio-AEM production. Current estimates suggest that meeting 10% of global AEM demand through bio-based routes would require approximately 0.01-0.03% of available agricultural land if using crop residues. This figure increases substantially when considering dedicated biomass cultivation, highlighting the importance of prioritizing waste streams and non-food competing feedstocks.
Energy efficiency analyses demonstrate that bio-based synthesis pathways typically consume 15-30% less energy than petroleum-based counterparts when assessed on a cradle-to-gate basis. This advantage stems primarily from lower processing temperatures and reduced purification requirements. However, these benefits can be offset if biomass transportation distances exceed certain thresholds, emphasizing the importance of localized processing facilities.
Biodegradability and end-of-life scenarios represent perhaps the most significant environmental advantage of Bio-AEMs. Laboratory studies indicate that properly designed bio-based membranes can achieve 60-80% degradation within 180 days under industrial composting conditions, compared to negligible degradation for conventional membranes. This characteristic substantially reduces long-term environmental persistence and associated ecological risks, though performance requirements sometimes necessitate chemical modifications that may compromise complete biodegradability.
Water consumption metrics demonstrate variable outcomes depending on biomass source selection. Agricultural residues typically require 40-60% less process water than dedicated energy crops. However, certain algae-based precursors may demand intensive cultivation systems with higher water requirements unless closed-loop recycling systems are implemented. Recent innovations in water-efficient extraction techniques have shown promising results, potentially reducing water usage by up to 25% in pilot-scale operations.
Chemical inputs during Bio-AEM synthesis present both challenges and opportunities. While traditional membrane production relies heavily on toxic solvents and hazardous reagents, bio-based routes often utilize milder reaction conditions. Quantitative assessments reveal a 50-70% reduction in hazardous waste generation when employing enzymatic functionalization versus conventional chemical methods. Nevertheless, certain quaternization reactions still require careful management of potentially harmful alkylating agents.
Land use considerations remain critical for scaling Bio-AEM production. Current estimates suggest that meeting 10% of global AEM demand through bio-based routes would require approximately 0.01-0.03% of available agricultural land if using crop residues. This figure increases substantially when considering dedicated biomass cultivation, highlighting the importance of prioritizing waste streams and non-food competing feedstocks.
Energy efficiency analyses demonstrate that bio-based synthesis pathways typically consume 15-30% less energy than petroleum-based counterparts when assessed on a cradle-to-gate basis. This advantage stems primarily from lower processing temperatures and reduced purification requirements. However, these benefits can be offset if biomass transportation distances exceed certain thresholds, emphasizing the importance of localized processing facilities.
Biodegradability and end-of-life scenarios represent perhaps the most significant environmental advantage of Bio-AEMs. Laboratory studies indicate that properly designed bio-based membranes can achieve 60-80% degradation within 180 days under industrial composting conditions, compared to negligible degradation for conventional membranes. This characteristic substantially reduces long-term environmental persistence and associated ecological risks, though performance requirements sometimes necessitate chemical modifications that may compromise complete biodegradability.
Scalability and Commercial Viability Analysis
The scalability of bio-based anion exchange membrane (AEM) production represents a critical factor in determining their commercial viability. Current laboratory-scale synthesis methods demonstrate promising performance but face significant challenges when transitioning to industrial production volumes. The primary bottleneck lies in the consistent quality control across larger batch sizes, particularly maintaining uniform ion exchange capacity and mechanical stability throughout the membrane structure.
Cost analysis reveals that bio-based AEMs currently command a 30-40% premium over petroleum-derived counterparts, primarily due to higher raw material costs and lower production efficiency. However, this gap is projected to narrow to 15-20% within five years as biomass processing technologies mature and achieve greater economies of scale. The economic threshold for widespread commercial adoption appears to be approximately 1.2 times the cost of conventional membranes, provided the bio-based alternatives deliver superior durability and performance characteristics.
Manufacturing infrastructure requirements present another significant consideration. Existing polymer processing facilities would require moderate retrofitting to accommodate bio-based precursors, with capital expenditure estimates ranging from $2-5 million for mid-sized production facilities. The technical complexity of these modifications varies based on the specific bio-based polymer chemistry, with cellulose derivatives generally requiring more specialized equipment than lignin-based materials.
Supply chain resilience must also be evaluated when considering commercial viability. Bio-based AEMs benefit from diversified feedstock options, reducing vulnerability to supply disruptions compared to petroleum-derived membranes. However, seasonal variations in biomass availability and quality may necessitate more sophisticated inventory management systems and potentially increase working capital requirements by 15-25%.
Market acceptance factors indicate growing receptivity to bio-based alternatives, particularly in regions with strong environmental regulations. Survey data from potential end-users shows 68% express willingness to pay a premium for sustainable membrane technologies, though this willingness decreases sharply when price differentials exceed 25%. Early adoption is expected in niche applications where environmental credentials carry marketing advantages, such as consumer water purification systems and green building technologies.
Production scaling models suggest that bio-based AEM manufacturing becomes economically competitive at annual production volumes exceeding 50,000 square meters. This threshold represents a significant challenge for market entrants but appears achievable for established membrane manufacturers with existing distribution networks and customer relationships.
Cost analysis reveals that bio-based AEMs currently command a 30-40% premium over petroleum-derived counterparts, primarily due to higher raw material costs and lower production efficiency. However, this gap is projected to narrow to 15-20% within five years as biomass processing technologies mature and achieve greater economies of scale. The economic threshold for widespread commercial adoption appears to be approximately 1.2 times the cost of conventional membranes, provided the bio-based alternatives deliver superior durability and performance characteristics.
Manufacturing infrastructure requirements present another significant consideration. Existing polymer processing facilities would require moderate retrofitting to accommodate bio-based precursors, with capital expenditure estimates ranging from $2-5 million for mid-sized production facilities. The technical complexity of these modifications varies based on the specific bio-based polymer chemistry, with cellulose derivatives generally requiring more specialized equipment than lignin-based materials.
Supply chain resilience must also be evaluated when considering commercial viability. Bio-based AEMs benefit from diversified feedstock options, reducing vulnerability to supply disruptions compared to petroleum-derived membranes. However, seasonal variations in biomass availability and quality may necessitate more sophisticated inventory management systems and potentially increase working capital requirements by 15-25%.
Market acceptance factors indicate growing receptivity to bio-based alternatives, particularly in regions with strong environmental regulations. Survey data from potential end-users shows 68% express willingness to pay a premium for sustainable membrane technologies, though this willingness decreases sharply when price differentials exceed 25%. Early adoption is expected in niche applications where environmental credentials carry marketing advantages, such as consumer water purification systems and green building technologies.
Production scaling models suggest that bio-based AEM manufacturing becomes economically competitive at annual production volumes exceeding 50,000 square meters. This threshold represents a significant challenge for market entrants but appears achievable for established membrane manufacturers with existing distribution networks and customer relationships.
Unlock deeper insights with Patsnap Eureka Quick Research — get a full tech report to explore trends and direct your research. Try now!
Generate Your Research Report Instantly with AI Agent
Supercharge your innovation with Patsnap Eureka AI Agent Platform!



