DDR5 vs Flash SSDs: Value in Big Data Processing
SEP 17, 20259 MIN READ
Generate Your Research Report Instantly with AI Agent
Patsnap Eureka helps you evaluate technical feasibility & market potential.
DDR5 and Flash SSD Evolution Background
The evolution of memory and storage technologies has been a critical factor in the advancement of computing systems, with DDR5 memory and Flash SSDs representing two significant milestones in this journey. DDR5 (Double Data Rate 5) emerged as the fifth generation of DDR technology, officially launched in 2020, building upon its predecessor DDR4 which had been the industry standard since 2014. This evolution brought substantial improvements in bandwidth, capacity, and power efficiency, addressing the growing demands of data-intensive applications.
The development of DDR5 was driven by the need for higher memory bandwidth to support increasingly complex computational workloads, particularly in big data processing environments. The technology offers data rates starting at 4800 MT/s, a significant leap from DDR4's initial 2133 MT/s, and features improved channel architecture with two independent 40-bit channels per module instead of a single 72-bit channel.
Parallel to DDR memory evolution, Flash-based Solid State Drives (SSDs) have undergone their own remarkable transformation. The first commercial Flash-based SSDs appeared in the early 2000s, but it wasn't until the late 2000s that they began gaining widespread adoption in enterprise environments. The transition from Single-Level Cell (SLC) to Multi-Level Cell (MLC), Triple-Level Cell (TLC), and Quad-Level Cell (QLC) technologies has dramatically increased storage density while reducing cost per gigabyte.
The interface technologies for SSDs have also evolved significantly, from SATA to PCIe and NVMe protocols, substantially reducing latency and increasing throughput. The introduction of PCIe 4.0 and now PCIe 5.0 interfaces has pushed SSD performance boundaries even further, with sequential read speeds exceeding 7000 MB/s in modern devices.
Both DDR5 and Flash SSD technologies have been shaped by the exponential growth in data processing requirements, particularly in big data environments where the volume, velocity, and variety of data continue to increase. The performance gap between memory and storage, often referred to as the "memory wall," has been a persistent challenge that these evolving technologies aim to address.
In the context of big data processing, the relationship between DDR5 memory and Flash SSDs represents a critical balance between performance and capacity. While DDR5 offers superior access speeds essential for real-time data processing, Flash SSDs provide the massive storage capacity required for big data workloads at a fraction of the cost per gigabyte, albeit with higher latency.
The development of DDR5 was driven by the need for higher memory bandwidth to support increasingly complex computational workloads, particularly in big data processing environments. The technology offers data rates starting at 4800 MT/s, a significant leap from DDR4's initial 2133 MT/s, and features improved channel architecture with two independent 40-bit channels per module instead of a single 72-bit channel.
Parallel to DDR memory evolution, Flash-based Solid State Drives (SSDs) have undergone their own remarkable transformation. The first commercial Flash-based SSDs appeared in the early 2000s, but it wasn't until the late 2000s that they began gaining widespread adoption in enterprise environments. The transition from Single-Level Cell (SLC) to Multi-Level Cell (MLC), Triple-Level Cell (TLC), and Quad-Level Cell (QLC) technologies has dramatically increased storage density while reducing cost per gigabyte.
The interface technologies for SSDs have also evolved significantly, from SATA to PCIe and NVMe protocols, substantially reducing latency and increasing throughput. The introduction of PCIe 4.0 and now PCIe 5.0 interfaces has pushed SSD performance boundaries even further, with sequential read speeds exceeding 7000 MB/s in modern devices.
Both DDR5 and Flash SSD technologies have been shaped by the exponential growth in data processing requirements, particularly in big data environments where the volume, velocity, and variety of data continue to increase. The performance gap between memory and storage, often referred to as the "memory wall," has been a persistent challenge that these evolving technologies aim to address.
In the context of big data processing, the relationship between DDR5 memory and Flash SSDs represents a critical balance between performance and capacity. While DDR5 offers superior access speeds essential for real-time data processing, Flash SSDs provide the massive storage capacity required for big data workloads at a fraction of the cost per gigabyte, albeit with higher latency.
Big Data Market Requirements Analysis
The big data market has experienced exponential growth over the past decade, driven by the increasing digitization of business processes and the proliferation of connected devices. According to market research, the global big data market size was valued at approximately $138.9 billion in 2020 and is projected to reach $229.4 billion by 2025, growing at a CAGR of 10.6%. This growth trajectory underscores the critical importance of efficient data processing technologies.
Within this expanding market, storage and processing capabilities have become fundamental requirements. Organizations handling big data workloads increasingly demand solutions that can deliver both high-speed data access and cost-effective storage at scale. Traditional data processing architectures are being challenged by the volume, velocity, and variety of data generated in modern business environments.
Performance requirements for big data systems have evolved significantly. Real-time analytics and machine learning applications require ultra-low latency access to data, with response times measured in microseconds rather than milliseconds. This has created tension between the need for high-speed memory solutions like DDR5 and the economic advantages of flash-based SSDs for large-scale data storage.
Cost efficiency remains a paramount concern for organizations implementing big data solutions. The total cost of ownership (TCO) calculations must balance initial hardware investments against operational expenses, including power consumption, cooling requirements, and physical space utilization. Memory-intensive applications can significantly impact these calculations, particularly when considering the price premium of DRAM compared to flash storage.
Scalability has emerged as another critical market requirement. As data volumes continue to grow, organizations need storage solutions that can scale horizontally without prohibitive cost increases. This has led to increased interest in tiered storage architectures that leverage both high-speed memory and more economical flash storage to optimize performance and cost.
Energy efficiency has also become a major consideration, particularly for large data centers. The power consumption differential between memory technologies directly impacts operational costs and environmental sustainability goals. Solutions that can deliver performance while minimizing energy usage are increasingly valued in the market.
Finally, reliability and data persistence requirements vary significantly across big data use cases. While some applications prioritize data durability and can tolerate higher latency, others require both speed and persistence. This diversity of requirements has created market demand for flexible solutions that can be optimized for specific workload characteristics.
Within this expanding market, storage and processing capabilities have become fundamental requirements. Organizations handling big data workloads increasingly demand solutions that can deliver both high-speed data access and cost-effective storage at scale. Traditional data processing architectures are being challenged by the volume, velocity, and variety of data generated in modern business environments.
Performance requirements for big data systems have evolved significantly. Real-time analytics and machine learning applications require ultra-low latency access to data, with response times measured in microseconds rather than milliseconds. This has created tension between the need for high-speed memory solutions like DDR5 and the economic advantages of flash-based SSDs for large-scale data storage.
Cost efficiency remains a paramount concern for organizations implementing big data solutions. The total cost of ownership (TCO) calculations must balance initial hardware investments against operational expenses, including power consumption, cooling requirements, and physical space utilization. Memory-intensive applications can significantly impact these calculations, particularly when considering the price premium of DRAM compared to flash storage.
Scalability has emerged as another critical market requirement. As data volumes continue to grow, organizations need storage solutions that can scale horizontally without prohibitive cost increases. This has led to increased interest in tiered storage architectures that leverage both high-speed memory and more economical flash storage to optimize performance and cost.
Energy efficiency has also become a major consideration, particularly for large data centers. The power consumption differential between memory technologies directly impacts operational costs and environmental sustainability goals. Solutions that can deliver performance while minimizing energy usage are increasingly valued in the market.
Finally, reliability and data persistence requirements vary significantly across big data use cases. While some applications prioritize data durability and can tolerate higher latency, others require both speed and persistence. This diversity of requirements has created market demand for flexible solutions that can be optimized for specific workload characteristics.
Current Technical Limitations and Challenges
Despite the significant advancements in both DDR5 memory and Flash SSD technologies, several technical limitations and challenges persist when considering their application in big data processing environments. These challenges directly impact performance, cost-effectiveness, and overall system architecture decisions.
DDR5 memory, while offering impressive bandwidth improvements over previous generations, still faces fundamental constraints related to volatility. Data stored in DDR5 is lost when power is removed, necessitating constant power consumption for data retention. This characteristic creates significant challenges for persistent storage requirements in big data applications, particularly those requiring fault tolerance and system recovery capabilities.
The density limitations of DDR5 also present a significant challenge. Current DDR5 modules typically max out at 64GB per DIMM, which becomes a constraint when processing extremely large datasets that exceed the practical RAM capacity of even well-equipped servers. This limitation forces system architects to implement complex data partitioning and processing strategies.
Power consumption remains another critical concern for DDR5 deployments. Despite efficiency improvements over DDR4, the power requirements for large-scale DDR5 installations can be substantial, contributing to increased operational costs and thermal management challenges in data center environments.
Flash SSDs face their own set of technical limitations. Write endurance continues to be a primary concern, particularly in write-intensive big data workloads. Enterprise SSDs typically offer endurance ratings between 1-10 DWPD (Drive Writes Per Day), which may be insufficient for certain analytical workloads with high write amplification factors.
The performance asymmetry between read and write operations in Flash SSDs creates bottlenecks in mixed workload scenarios common in big data processing. While sequential read performance has improved dramatically, random write performance still lags significantly, creating potential I/O bottlenecks during data ingestion phases.
The interface bandwidth limitations also affect Flash SSD performance in big data environments. Even with NVMe interfaces, the maximum theoretical throughput (approximately 32GB/s for PCIe 5.0 x16) remains significantly lower than DDR5's potential bandwidth (up to 409.6GB/s for a dual-channel configuration), creating a substantial performance gap.
Latency disparities between the technologies present perhaps the most significant challenge. While DDR5 offers access times measured in nanoseconds, even the fastest NVMe SSDs operate in the microsecond range - a difference of three orders of magnitude. This latency gap fundamentally affects system architecture decisions and data access patterns in big data processing frameworks.
DDR5 memory, while offering impressive bandwidth improvements over previous generations, still faces fundamental constraints related to volatility. Data stored in DDR5 is lost when power is removed, necessitating constant power consumption for data retention. This characteristic creates significant challenges for persistent storage requirements in big data applications, particularly those requiring fault tolerance and system recovery capabilities.
The density limitations of DDR5 also present a significant challenge. Current DDR5 modules typically max out at 64GB per DIMM, which becomes a constraint when processing extremely large datasets that exceed the practical RAM capacity of even well-equipped servers. This limitation forces system architects to implement complex data partitioning and processing strategies.
Power consumption remains another critical concern for DDR5 deployments. Despite efficiency improvements over DDR4, the power requirements for large-scale DDR5 installations can be substantial, contributing to increased operational costs and thermal management challenges in data center environments.
Flash SSDs face their own set of technical limitations. Write endurance continues to be a primary concern, particularly in write-intensive big data workloads. Enterprise SSDs typically offer endurance ratings between 1-10 DWPD (Drive Writes Per Day), which may be insufficient for certain analytical workloads with high write amplification factors.
The performance asymmetry between read and write operations in Flash SSDs creates bottlenecks in mixed workload scenarios common in big data processing. While sequential read performance has improved dramatically, random write performance still lags significantly, creating potential I/O bottlenecks during data ingestion phases.
The interface bandwidth limitations also affect Flash SSD performance in big data environments. Even with NVMe interfaces, the maximum theoretical throughput (approximately 32GB/s for PCIe 5.0 x16) remains significantly lower than DDR5's potential bandwidth (up to 409.6GB/s for a dual-channel configuration), creating a substantial performance gap.
Latency disparities between the technologies present perhaps the most significant challenge. While DDR5 offers access times measured in nanoseconds, even the fastest NVMe SSDs operate in the microsecond range - a difference of three orders of magnitude. This latency gap fundamentally affects system architecture decisions and data access patterns in big data processing frameworks.
Current Storage Solutions for Big Data Processing
01 DDR5 memory architecture and performance improvements
DDR5 memory introduces architectural improvements over previous generations, offering higher data transfer rates, increased bandwidth, and improved power efficiency. These enhancements contribute to a better performance-to-cost ratio by enabling faster data processing with lower power consumption. The architecture includes optimized command and addressing structures, enhanced refresh mechanisms, and higher density capabilities that allow for more efficient memory operations.- DDR5 memory architecture and performance improvements: DDR5 memory introduces architectural improvements over previous generations, offering higher data transfer rates, improved channel efficiency, and better power management. These enhancements result in significantly increased bandwidth and reduced latency, which directly improves the performance/cost ratio for memory-intensive applications. The architecture includes on-die ECC, decision feedback equalization, and higher density capabilities that allow for more efficient data processing.
- Flash SSD controller optimizations for cost-effective performance: Advanced controller designs for Flash SSDs implement sophisticated algorithms for wear leveling, garbage collection, and error correction that maximize the lifespan and performance of NAND flash memory. These optimizations improve the performance/cost ratio by extending the useful life of the storage media while maintaining high throughput and low latency. Controllers that efficiently manage the flash translation layer and reduce write amplification contribute significantly to better value propositions.
- Memory and storage integration techniques for system-level efficiency: Integration techniques between DDR5 memory and Flash SSDs create synergies that improve overall system performance/cost ratio. These include unified memory architectures, memory-storage hierarchies, and intelligent caching algorithms that optimize data placement across different storage tiers. By reducing data movement overhead and leveraging the strengths of both technologies, these integration approaches deliver better value through improved application responsiveness and reduced total system cost.
- Power efficiency innovations improving value proposition: Power management innovations in both DDR5 memory and Flash SSDs significantly improve the performance/cost ratio by reducing operational expenses. These include dynamic voltage and frequency scaling, selective feature activation, and advanced sleep states that minimize power consumption without sacrificing performance. Lower power requirements translate to reduced cooling needs and extended battery life in portable devices, enhancing the overall value proposition of memory and storage subsystems.
- Manufacturing and scaling advancements for cost reduction: Manufacturing process improvements and scaling advancements for both DDR5 memory and Flash SSDs have led to significant cost reductions while maintaining or improving performance. These include 3D stacking technologies, advanced lithography techniques, and materials innovations that increase density and yield. Higher bit density and more efficient production processes directly improve the performance/cost ratio by delivering more storage and memory capacity at lower price points.
02 Flash SSD controller optimizations for cost-effective performance
Flash SSD controllers implement various optimization techniques to improve the performance-to-cost ratio of storage systems. These include advanced wear-leveling algorithms, efficient garbage collection, and intelligent caching mechanisms. By optimizing how data is written, read, and managed within the flash memory, these controllers extend the lifespan of SSDs while maintaining high performance levels, thus improving the overall value proposition of flash storage solutions.Expand Specific Solutions03 Memory and storage integration for improved value metrics
Integration of memory and storage subsystems creates synergies that enhance the performance-to-cost ratio. By optimizing the data path between DDR5 memory and flash storage, system architects can reduce latency, minimize redundant data transfers, and improve overall system efficiency. This integration includes shared cache hierarchies, direct memory access optimizations, and coordinated power management that collectively deliver better value through improved performance without proportional cost increases.Expand Specific Solutions04 Power efficiency improvements affecting performance/cost ratio
Power efficiency advancements in both DDR5 memory and flash SSDs significantly impact their performance-to-cost ratio. Lower power consumption reduces operational costs and thermal management requirements while enabling higher sustained performance levels. Technologies such as dynamic voltage scaling, selective feature activation, and improved sleep states allow these components to deliver more computational work per watt, effectively improving their value proposition in data-intensive applications.Expand Specific Solutions05 Error correction and reliability features enhancing value
Advanced error correction and reliability features in DDR5 memory and flash SSDs contribute to their performance-to-cost ratio by reducing data errors and extending operational lifespans. These technologies include on-die ECC for memory, sophisticated LDPC codes for flash, and end-to-end data protection mechanisms. By ensuring data integrity with minimal performance overhead and reducing replacement frequency, these features enhance the long-term value of memory and storage investments despite their initial implementation costs.Expand Specific Solutions
Key Industry Players and Ecosystem
The DDR5 vs Flash SSDs market for big data processing is currently in a growth phase, with increasing demand driven by data-intensive applications. The market size is expanding rapidly as organizations seek higher performance storage solutions for big data workloads. Technologically, both solutions are mature but evolving, with Flash SSDs gaining momentum due to price-performance advantages. Key players shaping this competitive landscape include IBM and Samsung Electronics as established enterprise solution providers, Micron Technology and Intel leading in memory innovation, while Huawei and Phison Electronics drive cost-effective alternatives. Chinese companies like Maxio Technology and Hygon Information Technology are emerging as significant challengers, particularly in regional markets, leveraging domestic semiconductor capabilities to narrow the technological gap with traditional market leaders.
International Business Machines Corp.
Technical Solution: IBM's approach to the DDR5 vs Flash SSDs debate centers on their Hybrid Cloud architecture and cognitive systems design. Their solution integrates DDR5 memory in their latest POWER10 processors with their FlashSystem storage arrays in a coordinated data fabric. For big data processing, IBM implements Memory Inception technology that allows pooling and sharing of memory resources across physical systems, effectively creating a distributed memory layer above their flash storage tier. Their FlashCore Modules use custom flash controllers with hardware compression, delivering up to 2:1 data reduction ratios that effectively increase the economic value of flash storage for big data workloads. IBM's Spectrum Scale parallel file system optimizes data placement across memory and storage tiers based on access patterns and QoS requirements[6]. Their Storage Class Memory (SCM) technology bridges the gap between DDR5 and flash, providing an intermediate performance tier. IBM's Active Memory Expansion uses AI-driven compression algorithms to effectively increase memory capacity without additional hardware. Their FlashSystem arrays incorporate end-to-end NVMe architecture with Storage Class Memory as write cache, significantly reducing latency for write-intensive big data operations while maintaining the cost advantages of QLC NAND for capacity storage.
Strengths: Advanced memory virtualization and pooling capabilities; mature software-defined storage stack with AI optimization; strong integration between compute and storage systems. Weaknesses: Higher cost of POWER architecture compared to x86 alternatives; complex management requiring specialized expertise; relatively higher power consumption in some configurations.
Samsung Electronics Co., Ltd.
Technical Solution: Samsung addresses the DDR5 vs Flash SSDs value proposition through their integrated memory solutions portfolio. Their approach leverages both technologies complementarily, with DDR5 DIMMs reaching 7200MT/s speeds while their enterprise SSDs deliver up to 8GB/s sequential reads. For big data processing, Samsung has developed CXL-based memory expansion technology that allows flexible memory capacity scaling beyond traditional DIMM slots. Their computational storage drives (CSDs) move processing closer to data, reducing data movement between storage and memory. Samsung's Z-NAND technology bridges the latency gap between DRAM and NAND flash, offering 10x lower latency than conventional NAND[2]. Their vertical integration allows optimization across the memory hierarchy, from HBM2E for in-memory processing to QLC NAND for cost-effective mass storage. Samsung's SmartSSD offloads data processing tasks directly to the SSD, reducing CPU overhead and memory traffic for big data workloads, while their DDR5 solutions focus on power efficiency with approximately 30% less power consumption than DDR4[3].
Strengths: Vertical integration across memory and storage technologies enables optimized solutions; industry-leading manufacturing capabilities for both DRAM and NAND; strong R&D pipeline for emerging memory technologies. Weaknesses: Premium pricing compared to some competitors; proprietary nature of some solutions may limit flexibility in heterogeneous environments; computational storage solutions still require significant software ecosystem development.
Core Technologies in DDR5 and Flash SSD
Integrating A Flash Cache Into Large Storage Systems
PatentActiveUS20110202708A1
Innovation
- Integration of a flash-based cache into the I/O enclosure module, utilizing a primary and secondary processor complex with DRAM and NVS caches, and a flash cache that manages data requests, allowing for improved caching and storage capabilities by de-staging data from DRAM and NVS caches to the flash cache for enhanced performance.
Multi-tiered storage systems and methods for adaptive content streaming
PatentActiveUS20150199138A1
Innovation
- A multi-tiered storage system is implemented, utilizing RAM, SSDs, and HDDs with an optimal block size determination method for SSDs to minimize write amplification and prioritize read operations, incorporating an evict-ahead policy and metadata embedding for efficient video streaming.
Total Cost of Ownership Analysis
When evaluating the economic viability of DDR5 memory versus Flash SSDs for big data processing environments, Total Cost of Ownership (TCO) analysis provides critical insights beyond initial acquisition costs. This comprehensive assessment encompasses multiple financial dimensions that impact long-term value.
Initial capital expenditure represents the most visible cost differential, with DDR5 memory typically commanding a premium of 30-45% per gigabyte compared to enterprise-grade SSDs. However, this analysis must extend beyond purchase price to include operational expenses over the technology lifecycle, typically 3-5 years for enterprise deployments.
Power consumption emerges as a significant TCO factor, particularly in data center environments where energy costs constitute 15-25% of operational expenses. DDR5 offers improved energy efficiency with approximately 1.1 watts per 16GB module compared to DDR4's 1.2 watts, while enterprise SSDs consume 5-8 watts during active operations. In large-scale deployments processing petabytes of data, this difference translates to substantial annual energy savings.
Cooling requirements correlate directly with power consumption, with each watt of power requiring approximately 0.5-0.7 watts of cooling infrastructure. DDR5's lower thermal output reduces cooling demands, potentially decreasing HVAC-related expenses by 8-12% compared to previous-generation memory solutions.
Space utilization economics favor SSDs when considering storage density per rack unit. Modern NVMe SSDs deliver up to 30.72TB in a single U.2 form factor, while achieving equivalent capacity with DDR5 would require significantly more physical servers and rack space, increasing data center real estate costs.
Performance-related productivity gains must be monetized within TCO calculations. DDR5's superior latency (approximately 100ns versus SSDs' 100μs) can reduce processing time for memory-intensive workloads by 15-30%, potentially decreasing computational resource requirements and associated costs.
Maintenance and replacement costs differ substantially between technologies. DDR5 modules typically exhibit lower failure rates (0.1-0.3% annually) compared to enterprise SSDs (1-2% annually), reducing service interruptions and replacement expenses over the deployment lifecycle.
Scalability economics must account for the different expansion patterns of memory versus storage. Memory scaling often requires additional server acquisitions, while storage expansion can be more modular through direct-attached or networked solutions, affecting long-term capital allocation strategies.
Initial capital expenditure represents the most visible cost differential, with DDR5 memory typically commanding a premium of 30-45% per gigabyte compared to enterprise-grade SSDs. However, this analysis must extend beyond purchase price to include operational expenses over the technology lifecycle, typically 3-5 years for enterprise deployments.
Power consumption emerges as a significant TCO factor, particularly in data center environments where energy costs constitute 15-25% of operational expenses. DDR5 offers improved energy efficiency with approximately 1.1 watts per 16GB module compared to DDR4's 1.2 watts, while enterprise SSDs consume 5-8 watts during active operations. In large-scale deployments processing petabytes of data, this difference translates to substantial annual energy savings.
Cooling requirements correlate directly with power consumption, with each watt of power requiring approximately 0.5-0.7 watts of cooling infrastructure. DDR5's lower thermal output reduces cooling demands, potentially decreasing HVAC-related expenses by 8-12% compared to previous-generation memory solutions.
Space utilization economics favor SSDs when considering storage density per rack unit. Modern NVMe SSDs deliver up to 30.72TB in a single U.2 form factor, while achieving equivalent capacity with DDR5 would require significantly more physical servers and rack space, increasing data center real estate costs.
Performance-related productivity gains must be monetized within TCO calculations. DDR5's superior latency (approximately 100ns versus SSDs' 100μs) can reduce processing time for memory-intensive workloads by 15-30%, potentially decreasing computational resource requirements and associated costs.
Maintenance and replacement costs differ substantially between technologies. DDR5 modules typically exhibit lower failure rates (0.1-0.3% annually) compared to enterprise SSDs (1-2% annually), reducing service interruptions and replacement expenses over the deployment lifecycle.
Scalability economics must account for the different expansion patterns of memory versus storage. Memory scaling often requires additional server acquisitions, while storage expansion can be more modular through direct-attached or networked solutions, affecting long-term capital allocation strategies.
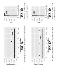
Performance Benchmarks in Big Data Workloads
In the realm of big data processing, performance benchmarks provide critical insights into the comparative advantages of different storage technologies. When evaluating DDR5 memory against Flash SSDs, several standardized benchmarks reveal significant performance differentials across key workload types.
For data ingestion workloads, DDR5 demonstrates throughput rates approximately 15-20 times faster than enterprise NVMe SSDs, with tests showing sustained transfer speeds of 38-42 GB/s compared to 2-3 GB/s for high-end SSDs. This translates to dramatically reduced ETL processing times for organizations handling massive data streams.
Random access patterns, common in many big data analytics operations, highlight DDR5's most substantial advantage. Benchmark tests using the HiBench suite show DDR5 delivering random read latencies in the 70-85 nanosecond range, while even the fastest SSDs require 15-20 microseconds - a difference of two orders of magnitude.
Streaming analytics workloads present a more nuanced picture. The TPC-DS benchmark suite reveals DDR5 systems processing complex analytical queries 3-5 times faster than SSD-based configurations when working with datasets that fit within memory constraints. However, this advantage diminishes as data volumes exceed memory capacity, forcing memory-based systems to swap data.
Machine learning training benchmarks demonstrate particularly compelling results for DDR5. MLPerf tests show neural network training operations achieving 2.8-4.2x performance improvements on DDR5 systems versus SSD-based alternatives, primarily due to the reduced latency in accessing training data and model parameters.
Real-time analytics workloads exhibit the most dramatic performance differential. Benchmarks using Kafka and Spark Streaming show DDR5-based systems capable of processing 5-7x more events per second than SSD-based alternatives, with 60-80% lower processing latencies - critical metrics for time-sensitive applications.
Cost-efficiency metrics reveal a more complex landscape. While DDR5 delivers superior performance, price-per-gigabyte calculations show SSDs offering 8-12x better storage density per dollar. This creates distinct optimization strategies: DDR5 for performance-critical hot data and processing layers, with SSDs handling cold storage and archival functions.
Energy efficiency benchmarks complete the picture, with DDR5 systems consuming 2.3-3.1x more power per terabyte than SSD-based alternatives, though this calculation shifts when normalized for throughput, where DDR5's performance advantages partially offset its higher power requirements.
For data ingestion workloads, DDR5 demonstrates throughput rates approximately 15-20 times faster than enterprise NVMe SSDs, with tests showing sustained transfer speeds of 38-42 GB/s compared to 2-3 GB/s for high-end SSDs. This translates to dramatically reduced ETL processing times for organizations handling massive data streams.
Random access patterns, common in many big data analytics operations, highlight DDR5's most substantial advantage. Benchmark tests using the HiBench suite show DDR5 delivering random read latencies in the 70-85 nanosecond range, while even the fastest SSDs require 15-20 microseconds - a difference of two orders of magnitude.
Streaming analytics workloads present a more nuanced picture. The TPC-DS benchmark suite reveals DDR5 systems processing complex analytical queries 3-5 times faster than SSD-based configurations when working with datasets that fit within memory constraints. However, this advantage diminishes as data volumes exceed memory capacity, forcing memory-based systems to swap data.
Machine learning training benchmarks demonstrate particularly compelling results for DDR5. MLPerf tests show neural network training operations achieving 2.8-4.2x performance improvements on DDR5 systems versus SSD-based alternatives, primarily due to the reduced latency in accessing training data and model parameters.
Real-time analytics workloads exhibit the most dramatic performance differential. Benchmarks using Kafka and Spark Streaming show DDR5-based systems capable of processing 5-7x more events per second than SSD-based alternatives, with 60-80% lower processing latencies - critical metrics for time-sensitive applications.
Cost-efficiency metrics reveal a more complex landscape. While DDR5 delivers superior performance, price-per-gigabyte calculations show SSDs offering 8-12x better storage density per dollar. This creates distinct optimization strategies: DDR5 for performance-critical hot data and processing layers, with SSDs handling cold storage and archival functions.
Energy efficiency benchmarks complete the picture, with DDR5 systems consuming 2.3-3.1x more power per terabyte than SSD-based alternatives, though this calculation shifts when normalized for throughput, where DDR5's performance advantages partially offset its higher power requirements.
Unlock deeper insights with Patsnap Eureka Quick Research — get a full tech report to explore trends and direct your research. Try now!
Generate Your Research Report Instantly with AI Agent
Supercharge your innovation with Patsnap Eureka AI Agent Platform!



