Regulatory Standards Governing CO₂ Capture Sorbent Use
SEP 28, 202510 MIN READ
Generate Your Research Report Instantly with AI Agent
Patsnap Eureka helps you evaluate technical feasibility & market potential.
CO₂ Capture Sorbent Regulatory Background and Objectives
Carbon dioxide capture technology has evolved significantly over the past several decades, transitioning from theoretical concepts to practical applications in response to growing climate change concerns. The development trajectory began in the 1970s with basic research on carbon capture mechanisms, accelerated in the 1990s with the first industrial applications, and has seen rapid advancement since 2010 with the emergence of novel sorbent materials and process innovations. Current technological trends indicate a shift toward more energy-efficient capture methods, regenerable sorbent materials, and integrated systems that minimize overall environmental impact.
The regulatory landscape governing CO₂ capture sorbents has similarly evolved, beginning with broad environmental protection frameworks and gradually developing into specific standards for carbon capture technologies. Early regulations focused primarily on emissions reduction targets, while contemporary frameworks increasingly address the entire lifecycle of carbon capture technologies, including sorbent production, utilization, and disposal considerations. This regulatory evolution reflects growing recognition of the critical role these technologies play in climate change mitigation strategies.
The primary objective of this technical research is to comprehensively evaluate the current global regulatory standards specifically governing CO₂ capture sorbent materials. This includes identifying existing regulatory gaps, assessing compliance requirements across different jurisdictions, and analyzing how these regulations impact technology development and commercial deployment. The research aims to provide a foundation for harmonizing international standards while ensuring environmental safety, operational efficiency, and economic viability.
A critical aspect of this investigation involves understanding how regulatory frameworks address the unique characteristics of different sorbent classes, including amine-based sorbents, metal-organic frameworks (MOFs), zeolites, and emerging nanomaterials. Each sorbent category presents distinct environmental, health, and safety considerations that regulatory standards must adequately address to ensure responsible deployment at industrial scale.
The research will also examine how regulatory standards are evolving to accommodate technological innovation in this rapidly developing field. This includes evaluating mechanisms for regulatory flexibility that encourage breakthrough technologies while maintaining necessary safeguards. Additionally, the study will assess how standards address the integration of CO₂ capture sorbents within broader carbon capture, utilization, and storage (CCUS) systems, recognizing that sorbent performance is intrinsically linked to overall system design and operation.
Finally, this technical research aims to identify pathways for regulatory development that can accelerate the responsible deployment of advanced CO₂ capture sorbents. This includes evaluating potential standardization approaches, certification mechanisms, and international cooperation frameworks that could facilitate technology transfer and global implementation of effective carbon capture solutions aligned with climate change mitigation goals.
The regulatory landscape governing CO₂ capture sorbents has similarly evolved, beginning with broad environmental protection frameworks and gradually developing into specific standards for carbon capture technologies. Early regulations focused primarily on emissions reduction targets, while contemporary frameworks increasingly address the entire lifecycle of carbon capture technologies, including sorbent production, utilization, and disposal considerations. This regulatory evolution reflects growing recognition of the critical role these technologies play in climate change mitigation strategies.
The primary objective of this technical research is to comprehensively evaluate the current global regulatory standards specifically governing CO₂ capture sorbent materials. This includes identifying existing regulatory gaps, assessing compliance requirements across different jurisdictions, and analyzing how these regulations impact technology development and commercial deployment. The research aims to provide a foundation for harmonizing international standards while ensuring environmental safety, operational efficiency, and economic viability.
A critical aspect of this investigation involves understanding how regulatory frameworks address the unique characteristics of different sorbent classes, including amine-based sorbents, metal-organic frameworks (MOFs), zeolites, and emerging nanomaterials. Each sorbent category presents distinct environmental, health, and safety considerations that regulatory standards must adequately address to ensure responsible deployment at industrial scale.
The research will also examine how regulatory standards are evolving to accommodate technological innovation in this rapidly developing field. This includes evaluating mechanisms for regulatory flexibility that encourage breakthrough technologies while maintaining necessary safeguards. Additionally, the study will assess how standards address the integration of CO₂ capture sorbents within broader carbon capture, utilization, and storage (CCUS) systems, recognizing that sorbent performance is intrinsically linked to overall system design and operation.
Finally, this technical research aims to identify pathways for regulatory development that can accelerate the responsible deployment of advanced CO₂ capture sorbents. This includes evaluating potential standardization approaches, certification mechanisms, and international cooperation frameworks that could facilitate technology transfer and global implementation of effective carbon capture solutions aligned with climate change mitigation goals.
Market Demand Analysis for CO₂ Capture Technologies
The global market for CO₂ capture technologies has experienced significant growth in recent years, driven by increasing environmental concerns and regulatory pressures to reduce greenhouse gas emissions. Current market valuations place the carbon capture, utilization, and storage (CCUS) sector at approximately $7 billion in 2023, with projections indicating potential growth to reach $35-40 billion by 2030, representing a compound annual growth rate exceeding 20%.
Industrial sectors contribute nearly 25% of global CO₂ emissions, with power generation, cement production, and steel manufacturing being the primary sources. These sectors face mounting pressure to decarbonize operations, creating substantial demand for effective carbon capture solutions, particularly advanced sorbent technologies that offer improved efficiency and reduced operational costs.
The regulatory landscape has become increasingly stringent, with over 40 countries implementing carbon pricing mechanisms and emissions trading schemes. The European Union's Emissions Trading System (EU ETS) has set carbon prices reaching record levels of €100 per tonne in 2023, while similar mechanisms in North America and Asia continue to evolve. These pricing structures create direct economic incentives for industries to adopt carbon capture technologies, including advanced sorbent solutions.
Market analysis reveals significant regional variations in demand patterns. North America currently leads in technology deployment, accounting for approximately 35% of global carbon capture projects, followed by Europe at 30% and Asia-Pacific at 25%. However, the fastest growth is anticipated in emerging economies, particularly China and India, where rapid industrialization coincides with increasing environmental commitments.
Investment trends demonstrate growing confidence in the sector, with venture capital funding for carbon capture startups exceeding $1.9 billion in 2022, a threefold increase from 2020 levels. Corporate investments from major energy and industrial companies have similarly accelerated, with announced commitments totaling over $25 billion for the next five years.
Customer segments for CO₂ capture sorbents include power utilities (representing approximately 40% of potential market demand), industrial manufacturers (30%), and oil and gas operators (20%). Each segment presents distinct requirements regarding sorbent performance, cost parameters, and regulatory compliance needs. The remaining 10% encompasses emerging applications in direct air capture and small-scale industrial operations.
Market forecasts suggest that regulatory standards governing sorbent materials will become increasingly important as deployment scales up. Industry surveys indicate that 78% of potential technology adopters cite regulatory compliance as a "very important" or "critical" factor in technology selection decisions, highlighting the central role that standards development will play in market evolution.
Industrial sectors contribute nearly 25% of global CO₂ emissions, with power generation, cement production, and steel manufacturing being the primary sources. These sectors face mounting pressure to decarbonize operations, creating substantial demand for effective carbon capture solutions, particularly advanced sorbent technologies that offer improved efficiency and reduced operational costs.
The regulatory landscape has become increasingly stringent, with over 40 countries implementing carbon pricing mechanisms and emissions trading schemes. The European Union's Emissions Trading System (EU ETS) has set carbon prices reaching record levels of €100 per tonne in 2023, while similar mechanisms in North America and Asia continue to evolve. These pricing structures create direct economic incentives for industries to adopt carbon capture technologies, including advanced sorbent solutions.
Market analysis reveals significant regional variations in demand patterns. North America currently leads in technology deployment, accounting for approximately 35% of global carbon capture projects, followed by Europe at 30% and Asia-Pacific at 25%. However, the fastest growth is anticipated in emerging economies, particularly China and India, where rapid industrialization coincides with increasing environmental commitments.
Investment trends demonstrate growing confidence in the sector, with venture capital funding for carbon capture startups exceeding $1.9 billion in 2022, a threefold increase from 2020 levels. Corporate investments from major energy and industrial companies have similarly accelerated, with announced commitments totaling over $25 billion for the next five years.
Customer segments for CO₂ capture sorbents include power utilities (representing approximately 40% of potential market demand), industrial manufacturers (30%), and oil and gas operators (20%). Each segment presents distinct requirements regarding sorbent performance, cost parameters, and regulatory compliance needs. The remaining 10% encompasses emerging applications in direct air capture and small-scale industrial operations.
Market forecasts suggest that regulatory standards governing sorbent materials will become increasingly important as deployment scales up. Industry surveys indicate that 78% of potential technology adopters cite regulatory compliance as a "very important" or "critical" factor in technology selection decisions, highlighting the central role that standards development will play in market evolution.
Global Regulatory Landscape and Technical Challenges
The global regulatory landscape for CO₂ capture sorbents is characterized by a complex patchwork of standards that vary significantly across regions and jurisdictions. In the United States, the Environmental Protection Agency (EPA) has established guidelines under the Clean Air Act that indirectly affect sorbent development through emissions standards, while the Department of Energy (DOE) provides technical specifications for carbon capture technologies through its National Energy Technology Laboratory (NETL). These frameworks primarily focus on performance metrics rather than specific material compositions.
The European Union has adopted a more comprehensive approach through its Emissions Trading System (ETS) and the Industrial Emissions Directive, which incentivize carbon capture technologies while establishing safety parameters for chemical substances used in industrial processes. The EU's REACH (Registration, Evaluation, Authorization and Restriction of Chemicals) regulation imposes additional requirements on novel sorbent materials, necessitating extensive toxicological and environmental impact assessments before deployment.
In Asia, regulatory frameworks show considerable variation. Japan's Ministry of Economy, Trade and Industry (METI) has developed technical standards specifically for carbon capture technologies, including sorbent performance requirements. China's approach combines national emissions reduction targets with provincial implementation, creating a heterogeneous regulatory environment that complicates standardization efforts for sorbent technologies.
A significant technical challenge in the regulatory landscape is the lack of internationally harmonized standards for evaluating sorbent performance, safety, and environmental impact. This absence creates barriers to global technology transfer and commercialization, as developers must navigate different certification processes across markets. The International Organization for Standardization (ISO) has begun addressing this gap through technical committees focused on carbon capture technologies, but comprehensive standards remain under development.
Material safety regulations present another critical challenge, particularly for novel sorbent compositions. Many advanced sorbents incorporate nanomaterials or specialized chemical compounds that fall into regulatory gray areas. Existing frameworks for chemical safety assessment often prove inadequate for evaluating the unique properties and potential risks of these materials, creating uncertainty for technology developers and potential adopters.
Lifecycle assessment requirements vary substantially across jurisdictions, with some regions focusing exclusively on operational carbon capture efficiency while others mandate cradle-to-grave environmental impact analysis. This inconsistency complicates the development of sorbents that can meet global market requirements and creates artificial barriers to technology deployment across borders.
The European Union has adopted a more comprehensive approach through its Emissions Trading System (ETS) and the Industrial Emissions Directive, which incentivize carbon capture technologies while establishing safety parameters for chemical substances used in industrial processes. The EU's REACH (Registration, Evaluation, Authorization and Restriction of Chemicals) regulation imposes additional requirements on novel sorbent materials, necessitating extensive toxicological and environmental impact assessments before deployment.
In Asia, regulatory frameworks show considerable variation. Japan's Ministry of Economy, Trade and Industry (METI) has developed technical standards specifically for carbon capture technologies, including sorbent performance requirements. China's approach combines national emissions reduction targets with provincial implementation, creating a heterogeneous regulatory environment that complicates standardization efforts for sorbent technologies.
A significant technical challenge in the regulatory landscape is the lack of internationally harmonized standards for evaluating sorbent performance, safety, and environmental impact. This absence creates barriers to global technology transfer and commercialization, as developers must navigate different certification processes across markets. The International Organization for Standardization (ISO) has begun addressing this gap through technical committees focused on carbon capture technologies, but comprehensive standards remain under development.
Material safety regulations present another critical challenge, particularly for novel sorbent compositions. Many advanced sorbents incorporate nanomaterials or specialized chemical compounds that fall into regulatory gray areas. Existing frameworks for chemical safety assessment often prove inadequate for evaluating the unique properties and potential risks of these materials, creating uncertainty for technology developers and potential adopters.
Lifecycle assessment requirements vary substantially across jurisdictions, with some regions focusing exclusively on operational carbon capture efficiency while others mandate cradle-to-grave environmental impact analysis. This inconsistency complicates the development of sorbents that can meet global market requirements and creates artificial barriers to technology deployment across borders.
Current Compliance Frameworks for Sorbent Technologies
01 Metal-organic frameworks (MOFs) for CO₂ capture
Metal-organic frameworks are crystalline porous materials composed of metal ions or clusters coordinated with organic ligands. These materials have high surface areas and tunable pore sizes, making them effective for CO₂ adsorption. MOFs can be designed with specific functional groups to enhance CO₂ selectivity and capacity. Their regeneration typically requires less energy compared to traditional sorbents, making them promising candidates for carbon capture applications.- Metal-organic frameworks (MOFs) for CO₂ capture: Metal-organic frameworks are crystalline porous materials composed of metal ions or clusters coordinated with organic ligands. These materials have high surface areas and tunable pore sizes, making them effective for selective CO₂ adsorption. MOFs can be designed with specific functional groups to enhance CO₂ binding affinity and can operate under various temperature and pressure conditions, offering promising solutions for carbon capture applications.
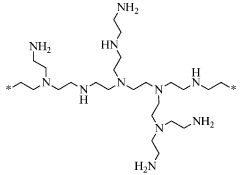
- Amine-functionalized sorbents: Amine-functionalized materials represent a significant class of CO₂ capture sorbents. These materials incorporate amine groups that chemically react with CO₂ through carbamate formation. Common supports include silica, polymers, and porous carbons that are modified with various amine compounds. These sorbents typically offer high CO₂ selectivity and capacity at low partial pressures, making them suitable for post-combustion capture applications where CO₂ concentrations are relatively low.
- Regenerable solid sorbents for cyclic capture processes: Regenerable solid sorbents are designed for continuous CO₂ capture through adsorption-desorption cycles. These materials can capture CO₂ under specific conditions and then release it when conditions change, typically through temperature or pressure swing processes. Key considerations include working capacity, regeneration energy requirements, mechanical stability over multiple cycles, and resistance to contaminants. Advanced regenerable sorbents aim to minimize energy penalties associated with the regeneration step while maintaining high capture performance.
- Zeolite and activated carbon-based CO₂ sorbents: Zeolites and activated carbons are traditional microporous materials widely used for CO₂ capture. Zeolites are aluminosilicate materials with well-defined pore structures that can selectively adsorb CO₂ based on molecular sieving and electrostatic interactions. Activated carbons offer high surface areas and can be produced from various precursors including biomass. Both materials can be modified through chemical treatments to enhance their CO₂ capture performance, particularly by introducing basic sites that increase affinity for acidic CO₂ molecules.
- Novel composite and hybrid sorbent materials: Composite and hybrid sorbent materials combine different components to achieve enhanced CO₂ capture performance. These materials often integrate the advantages of multiple sorbent types, such as the high capacity of chemical sorbents with the fast kinetics of physical adsorbents. Examples include polymer-inorganic composites, layered double hydroxides, and hybrid membranes. These materials are engineered to overcome limitations of single-component sorbents by optimizing properties like selectivity, capacity, kinetics, and stability under various operating conditions.
02 Amine-functionalized sorbents
Amine-functionalized materials are widely used for CO₂ capture due to their strong chemical interaction with CO₂ molecules. These sorbents typically consist of a porous support material impregnated or grafted with various amine compounds. The amine groups react with CO₂ to form carbamates or bicarbonates under ambient conditions. These materials offer high selectivity for CO₂ over other gases and can be regenerated through temperature or pressure swing processes. Common support materials include silica, activated carbon, and polymeric substrates.Expand Specific Solutions03 Zeolite-based CO₂ capture systems
Zeolites are crystalline aluminosilicate materials with well-defined pore structures that can effectively adsorb CO₂. Their high thermal stability and mechanical strength make them suitable for industrial applications. The CO₂ adsorption capacity of zeolites can be enhanced by modifying their framework composition, cation exchange, or surface functionalization. These materials are particularly effective at moderate to high pressures and can be regenerated multiple times without significant loss of performance.Expand Specific Solutions04 Carbon-based sorbents for CO₂ capture
Carbon-based materials, including activated carbon, carbon nanotubes, and graphene derivatives, are effective CO₂ sorbents due to their high surface area and pore volume. These materials can be modified with nitrogen, oxygen, or metal functionalities to enhance CO₂ selectivity and capacity. Carbon-based sorbents offer advantages such as low cost, high stability, and ease of regeneration. They are particularly suitable for pressure swing adsorption processes and can be derived from various precursors including biomass and waste materials.Expand Specific Solutions05 Hybrid and composite CO₂ capture materials
Hybrid and composite materials combine different types of sorbents to leverage their complementary properties for enhanced CO₂ capture performance. These materials often integrate organic and inorganic components, such as polymer-inorganic composites, MOF-polymer blends, or amine-functionalized mesoporous silica. The synergistic effects in these hybrid systems can lead to improved adsorption capacity, selectivity, stability, and regeneration efficiency. These materials are designed to overcome limitations of individual sorbent types and optimize overall carbon capture performance under various operating conditions.Expand Specific Solutions
Key Regulatory Bodies and Industry Stakeholders
The CO₂ capture sorbent regulatory landscape is evolving rapidly as the market transitions from early development to commercial scaling. Currently valued at approximately $2-3 billion, the market is projected to grow significantly as carbon capture becomes essential for climate targets. Technologically, the field shows varying maturity levels across players. Climeworks has achieved commercial deployment with third-party certification, while established energy corporations like KEPCO, CNOOC, and CHN Energy are leveraging their infrastructure to accelerate development. Research institutions including Huaneng Clean Energy Research Institute, William Marsh Rice University, and Korea Institute of Energy Research are advancing fundamental innovations. The regulatory framework remains fragmented globally, with standards emerging around safety, environmental impact, and performance verification as the technology progresses toward wider implementation.
Climeworks AG
Technical Solution: Climeworks has developed a Direct Air Capture (DAC) technology using solid sorbent filters that bind with CO₂ when air passes through them. Their regulatory compliance strategy focuses on a modular approach that allows for scalable implementation while meeting varying international standards. The company has pioneered a commercial-scale DAC plant in Iceland (Orca) that complies with EU environmental regulations and ISO 14001 standards. Their sorbent materials undergo rigorous life cycle assessments to ensure compliance with chemical registration requirements under REACH in Europe. Climeworks has also developed comprehensive monitoring protocols that align with the EU's Monitoring and Reporting Regulation (MRR) for greenhouse gases, ensuring accurate quantification of captured CO₂. Their technology has received certification under various carbon credit standards, including Gold Standard and Puro.earth, establishing regulatory precedent for DAC technologies.
Strengths: Climeworks' technology has received regulatory approval in multiple jurisdictions, creating valuable precedents for DAC deployment. Their modular approach allows for adaptation to different regulatory environments. Weaknesses: The high energy requirements of their technology create additional regulatory hurdles related to energy sourcing and efficiency standards. Their proprietary sorbent materials face ongoing scrutiny under evolving chemical regulations.
CHN ENERGY Investment Group Co., Ltd.
Technical Solution: CHN ENERGY has developed comprehensive carbon capture technologies focusing on post-combustion capture using amine-based sorbents optimized for coal-fired power plants. Their regulatory compliance strategy centers on meeting China's increasingly stringent emissions standards while preparing for the national carbon trading market. The company has implemented a pilot project at the Gaobeidian power plant that captures approximately 3,000 tons of CO₂ annually, serving as a testbed for regulatory compliance procedures. Their sorbent management protocols adhere to China's Measures for the Administration of Registration of Hazardous Chemicals and relevant safety standards. CHN ENERGY has worked closely with China's Ministry of Ecology and Environment to develop monitoring standards specific to carbon capture facilities, including continuous emissions monitoring systems that track sorbent performance and degradation products. Their approach includes comprehensive risk assessment frameworks that address potential environmental impacts of sorbent use, including protocols for disposal of spent materials that comply with China's solid waste management regulations.
Strengths: Strong alignment with China's regulatory framework and national carbon reduction goals provides policy support for technology deployment. Extensive experience with large-scale industrial applications creates practical knowledge of compliance challenges. Weaknesses: Heavy focus on China's regulatory environment may limit international applicability. Their sorbent technology is primarily optimized for high-concentration point sources rather than direct air capture, limiting application in emerging carbon removal markets.
Critical Regulatory Documents and Technical Specifications
Co2 capture using carbonate sorbents
PatentPendingUS20230182073A1
Innovation
- The use of non-deliquescent metal carbonates like calcium carbonate as sorbents in CO2 capture systems, which reduce waste and energy consumption by minimizing water condensation and sorbent loss, and the regeneration and recycling of spent sorbents through decomposition and granulation, allowing for efficient CO2 capture from both point sources and air.
Sorbents for carbon dioxide capture
PatentWO2024133317A1
Innovation
- A sorbent comprising polyalkyleneimine or alkoxylated polyalkyleneimine loaded onto an inorganic solid support with a water content greater than 2 wt%, allowing for aqueous solvent use and reducing the need for organic solvents, which enhances CO2 absorption rates and oxidative stability.
Environmental Impact Assessment Requirements
Environmental impact assessment (EIA) for CO₂ capture sorbent technologies has become increasingly stringent as regulatory frameworks evolve globally. These assessments must evaluate the complete lifecycle environmental footprint of sorbent materials from production through disposal or regeneration. Current regulations typically require comprehensive analysis of potential air emissions, water discharges, solid waste generation, and resource consumption associated with sorbent manufacturing, deployment, and end-of-life management.
The European Union's Environmental Impact Assessment Directive (2014/52/EU) specifically mandates that carbon capture projects, including sorbent-based systems, undergo detailed environmental scrutiny before approval. This includes evaluation of potential chemical leaching from sorbents, energy penalties associated with regeneration processes, and emissions from transportation of materials. Similarly, the U.S. Environmental Protection Agency has established guidelines under the National Environmental Policy Act (NEPA) that require thorough assessment of environmental consequences for federally-funded carbon capture initiatives.
Regulatory standards increasingly emphasize the importance of comparative lifecycle assessments (LCA) when evaluating different sorbent technologies. These assessments must quantify greenhouse gas emissions across the entire value chain to ensure that carbon capture solutions deliver genuine climate benefits. For instance, the ISO 14040 and 14044 standards provide internationally recognized methodologies for conducting these assessments, which are increasingly referenced in regulatory frameworks.
Water impact assessment requirements have become particularly stringent for sorbent technologies, as many carbon capture processes can be water-intensive. Regulations in water-stressed regions often mandate detailed water footprint analyses and implementation of water conservation measures. The Water Framework Directive in Europe and Clean Water Act provisions in the United States establish specific thresholds for water quality parameters that must be maintained when deploying sorbent technologies.
Toxicity and ecotoxicity testing requirements for novel sorbent materials have also expanded significantly. Regulatory bodies including the European Chemicals Agency (ECHA) under REACH regulations and the U.S. EPA under the Toxic Substances Control Act (TSCA) require extensive safety data for new chemical substances, including engineered sorbents. These assessments must demonstrate that sorbent materials pose minimal risk to ecosystems and human health throughout their lifecycle.
Biodiversity impact assessments are increasingly mandated for large-scale carbon capture facilities, particularly when siting new infrastructure in sensitive ecological areas. These assessments must evaluate potential habitat disruption, species displacement, and ecosystem services impacts. The Convention on Biological Diversity provides international guidelines that many national regulatory frameworks have incorporated into their environmental impact assessment requirements for carbon capture technologies.
The European Union's Environmental Impact Assessment Directive (2014/52/EU) specifically mandates that carbon capture projects, including sorbent-based systems, undergo detailed environmental scrutiny before approval. This includes evaluation of potential chemical leaching from sorbents, energy penalties associated with regeneration processes, and emissions from transportation of materials. Similarly, the U.S. Environmental Protection Agency has established guidelines under the National Environmental Policy Act (NEPA) that require thorough assessment of environmental consequences for federally-funded carbon capture initiatives.
Regulatory standards increasingly emphasize the importance of comparative lifecycle assessments (LCA) when evaluating different sorbent technologies. These assessments must quantify greenhouse gas emissions across the entire value chain to ensure that carbon capture solutions deliver genuine climate benefits. For instance, the ISO 14040 and 14044 standards provide internationally recognized methodologies for conducting these assessments, which are increasingly referenced in regulatory frameworks.
Water impact assessment requirements have become particularly stringent for sorbent technologies, as many carbon capture processes can be water-intensive. Regulations in water-stressed regions often mandate detailed water footprint analyses and implementation of water conservation measures. The Water Framework Directive in Europe and Clean Water Act provisions in the United States establish specific thresholds for water quality parameters that must be maintained when deploying sorbent technologies.
Toxicity and ecotoxicity testing requirements for novel sorbent materials have also expanded significantly. Regulatory bodies including the European Chemicals Agency (ECHA) under REACH regulations and the U.S. EPA under the Toxic Substances Control Act (TSCA) require extensive safety data for new chemical substances, including engineered sorbents. These assessments must demonstrate that sorbent materials pose minimal risk to ecosystems and human health throughout their lifecycle.
Biodiversity impact assessments are increasingly mandated for large-scale carbon capture facilities, particularly when siting new infrastructure in sensitive ecological areas. These assessments must evaluate potential habitat disruption, species displacement, and ecosystem services impacts. The Convention on Biological Diversity provides international guidelines that many national regulatory frameworks have incorporated into their environmental impact assessment requirements for carbon capture technologies.
Cross-Border Regulatory Harmonization Efforts
The global nature of climate change necessitates international cooperation in developing and implementing CO₂ capture technologies. Current regulatory frameworks governing CO₂ capture sorbents vary significantly across jurisdictions, creating barriers to technology transfer, market access, and widespread adoption. Recent years have witnessed growing efforts to harmonize these regulations across borders, facilitating more efficient deployment of carbon capture solutions.
The International Organization for Standardization (ISO) has emerged as a key player in this harmonization process, developing the ISO 14080 series that provides frameworks for climate action and the ISO 27919 standards specifically addressing carbon capture technologies. These standards aim to create a common technical language and performance metrics that can be recognized across multiple jurisdictions.
The European Union's efforts through the Innovation Fund and the Carbon Capture and Storage Directive (2009/31/EC) have established a regional framework that several non-EU countries are aligning with. This alignment creates a de facto international standard that simplifies compliance for technology developers operating across multiple markets. Similarly, the Clean Development Mechanism under the Kyoto Protocol has provided a framework for cross-border carbon capture projects.
Bilateral agreements between major economies have accelerated regulatory harmonization. The US-China Clean Energy Research Center and the EU-Japan Green Alliance both include provisions for aligning standards for carbon capture technologies, including sorbent safety and performance requirements. These agreements typically focus on mutual recognition of testing protocols and certification processes rather than complete regulatory uniformity.
Industry consortia like the International CCS Knowledge Centre and the Global CCS Institute have developed best practice guidelines that influence regulatory approaches across multiple jurisdictions. Their technical recommendations often serve as precursors to formal regulatory harmonization, particularly regarding sorbent degradation monitoring and disposal protocols.
Challenges to harmonization persist, including differing national priorities, varying technical capabilities, and concerns about sovereignty in environmental regulation. The most successful harmonization efforts have focused on technical standards for sorbent performance and safety while allowing flexibility in implementation approaches. This "harmonization with flexibility" approach recognizes the need for regulations to accommodate local geological, industrial, and economic contexts.
Future harmonization efforts are likely to focus on establishing common metrics for lifecycle environmental impact assessment of sorbents, standardized protocols for long-term performance monitoring, and aligned approaches to waste classification for spent sorbents. The development of these standards will be crucial for enabling international carbon markets to properly value and trade carbon removal credits associated with sorbent-based capture technologies.
The International Organization for Standardization (ISO) has emerged as a key player in this harmonization process, developing the ISO 14080 series that provides frameworks for climate action and the ISO 27919 standards specifically addressing carbon capture technologies. These standards aim to create a common technical language and performance metrics that can be recognized across multiple jurisdictions.
The European Union's efforts through the Innovation Fund and the Carbon Capture and Storage Directive (2009/31/EC) have established a regional framework that several non-EU countries are aligning with. This alignment creates a de facto international standard that simplifies compliance for technology developers operating across multiple markets. Similarly, the Clean Development Mechanism under the Kyoto Protocol has provided a framework for cross-border carbon capture projects.
Bilateral agreements between major economies have accelerated regulatory harmonization. The US-China Clean Energy Research Center and the EU-Japan Green Alliance both include provisions for aligning standards for carbon capture technologies, including sorbent safety and performance requirements. These agreements typically focus on mutual recognition of testing protocols and certification processes rather than complete regulatory uniformity.
Industry consortia like the International CCS Knowledge Centre and the Global CCS Institute have developed best practice guidelines that influence regulatory approaches across multiple jurisdictions. Their technical recommendations often serve as precursors to formal regulatory harmonization, particularly regarding sorbent degradation monitoring and disposal protocols.
Challenges to harmonization persist, including differing national priorities, varying technical capabilities, and concerns about sovereignty in environmental regulation. The most successful harmonization efforts have focused on technical standards for sorbent performance and safety while allowing flexibility in implementation approaches. This "harmonization with flexibility" approach recognizes the need for regulations to accommodate local geological, industrial, and economic contexts.
Future harmonization efforts are likely to focus on establishing common metrics for lifecycle environmental impact assessment of sorbents, standardized protocols for long-term performance monitoring, and aligned approaches to waste classification for spent sorbents. The development of these standards will be crucial for enabling international carbon markets to properly value and trade carbon removal credits associated with sorbent-based capture technologies.
Unlock deeper insights with Patsnap Eureka Quick Research — get a full tech report to explore trends and direct your research. Try now!
Generate Your Research Report Instantly with AI Agent
Supercharge your innovation with Patsnap Eureka AI Agent Platform!